定義
如果一個數的n次方(n是大於1的整數)等於a,那么這個數叫做a的 n次方根。當n為奇數時,這個數為a的奇次方根;當n為偶數時,這個數為a的偶次方根。
求一個數a的n次方根的運算叫做 開n次方,a叫做 被開方數,n叫做 根指數 。
符號史
n次方根
n次方根最早的根號“ ”源於字母“L”的變形(出自拉丁語latus的首字母,表示“邊長”),沒有線括弧(即被開方數上的橫線),後來數學家笛卡爾給其加上線括弧,但與前面的方根符號是分開的,因此在複雜的式子顯得很亂。直至18世紀中葉,數學家盧貝將前面的方根符號與線括弧一筆寫成,並將根指數寫在根號的左上角,以表示高次方根(當根指數為2時,省略不寫。)。從而,形成了我們現在所熟悉的開方運算符號 。
由於在計算機中的輸入問題,我們有時還可以使用sqrt(a,b)來表示a的b次方根。
基本運算
帶有根號的運算由如下公式給出:
n次方根
n次方根
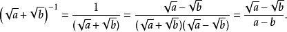
n次方根這裡的 a和 b是正數。
n次方根對於所有的非零複數 a,有 n個不同的複數 b使得 b= a,所以符號 不能無歧義的使用。 n次單位根是特別重要的。
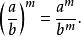
當一個數從根號形式被變換到冪形式,冪的規則仍適用(即使對分數冪),也就是
n次方根
n次方根
n次方根例如:
n次方根如果你要做加法或減法,則你應當注意下列概念是重要的。
n次方根如果你理解了如何去簡化一個根式表達式,則加法和減法簡單的是群的“同類項”問題。例如
n次方根
n次方根
n次方根
n次方根不盡根數
經常簡單的留著數的 n次方根不解(就是留著根號)。這些未解的表達式叫做“不盡根數”(surd),它們可以接著被處理為更簡單的形式或被安排相互除。
如下恆等式是操縱不盡根數的基本技術:
n次方根
n次方根
n次方根
n次方根找到所有方根
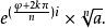
任何數的所有的根,實數或複數的,可以通過簡單的算法找到。這個數應當首先被寫為如下形式 ae(參見歐拉公式)。接著所有的 n次方根給出為:
n次方根
n次方根
n次方根對於 ,這裡的 表示 a的主 n次方根。
正實數
所有 x= a或 a的 n次方根,這裡的 a是正實數,的複數解由如下簡單等式給出:
n次方根
n次方根
n次方根對於 ,這裡的 表示 a的主 n次方根。
解多項式
曾經猜想多項式的所有根可以用根號和基本運算來表達;但是阿貝爾-魯菲尼定理斷言了這不是普遍為真的。例如,方程
n次方根的解不能用根號表達。
算法
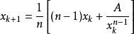
n次方根對於正數A,可以通過以下算法求得 的值:
n次方根
n次方根(1)猜一個 的近似值,將其作為初始值 ,
n次方根
n次方根
n次方根(2)設 。記誤差為 ,即,
n次方根(3)重複步驟2,直至絕對誤差足夠小,即: 。

