釋義
方根
方根
方根
方根在數學中,若一個數b為數a的 n次方根,則。當提及實數a的n次方根的時候,假定想要的是這個數的 主n次方根,那么它就可以用根號表示成。例如:1024的主10次方根為2,就可以記作。當n=2時,則n可以省略。定義實數a的主n次方根為a的n次方根,且具有與a相同的正負號的唯一實數 b。如果 n是偶數,那么負數將沒有主n次方根。習慣上,將2次方根叫做平方根,將3次方根叫做立方根。
符號史
最早的根號“√”源於字母“L”的變形(出自拉丁語latus的首字母,表示“邊長”),沒有線括弧(即被開方數上的橫線),後來數學家笛卡爾給其加上線括弧,但與前面的方根符號是分開的,因此在複雜的式子顯得很亂。直至18世紀中葉,數學家盧貝將前面的方根符號與線括弧一筆寫成,並將根指數寫在根號的左上角,以表示高次方根(當根指數為2時,省略不寫。)。從而,形成了我們所熟悉的開方運算符號。由於在計算機中的輸入問題,我們有時還可以使用sqrt(a,b)來表示a的b次方根。
基本運算
帶有根號的運算由如下公式給出:
方根
方根
方根這裡的a和b是正數。
方根對於所有的非零複數a,有n個不同的複數b使得b = a,所以符號不能無歧義的使用。n次單位根是特別重要的。
當一個數從根號形式被變換到冪形式,冪的規則仍適用(即使對分數冪),也就是
方根例如:
方根如果你要做加法或減法,則你應當注意下列概念是重要的。
方根如果你理解了如何去簡化一個根式表達式,則加法和減法簡單的是群的“同類項”問題。
例如
方根不盡根數
經常簡單的留著數的n次方根不解(就是留著根號)。這些未解的表達式叫做“不盡根數”(surd),它們可以接著被處理為更簡單的形式或被安排相互除。
如下恆等式是操縱不盡根數的基本技術:
方根
方根
方根
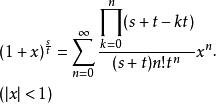
方根無窮級數
方根可以表示為無窮級數:
方根找到所有方根
任何數的所有的根,實數或複數的,可以通過簡單的算法找到。這個數應當首先被寫為如下形式aeiφ (參見歐拉公式)。接著所有的n次方根給出為:
方根
方根
方根對於k=0,1,2, ,這裡的 表示a的主n次方根。
正實數
所有x = a或a的n次方根,這裡的a是正實數,的複數解由如下簡單等式給出:
方根
方根對於k=0,1,2,·,n-1,這裡的 表示a的主n次方根。
相關聯繫
一個數a的n次方根有n個(a≠0),在複數平面中構成正n邊形。

