簡介
四次方根如果一個數x的四次方等於,即4個x連續相乘等於a,那么這個數x就叫做a的四次方根(four root) .
四次方根
四次方根讀作四次根號a其中,a叫做被開方數,4叫做根指數。()如果被開方數還有指數,那么這個指數(必須是四能約去的)還可以和四次根號約去。
求一個數a的四次方根的運算叫做開四次方。
四次方根
四次方根任何數有且只有四個四次方根.四次方根的性質 :⑴任何不是0的數都有4個四次方根.⑵0的四次方根是0.一般地,如果一個數X的四次方根等於 a,那么這個數X就叫做a的四次方根(four root)。也就是說,如果=,那么x叫做a的四次方根。0是0的四次方根。
四次方和開四次方運算,互為逆運算。
負數可以開立方,不能開四次方
任何不是0的數數有四個四次方根,0的四次方根是0.
比較:⑴做這兩個數的四次方
⑵作差
四次方根
四次方根⑶比較被開方數(如>)
任何數(正數、負數、或零)的四次方根如果存在的話,必定有四個.
區別與聯繫
⑴根指數不同:平方根的根指數為2,且可以省略不寫;立方根的根指數為3,且不能省略不寫。
⑵ 結果不同:平方根的結果除0之外,有兩個互為相反的結果;立方根的結果有3個,3個立方根均勻分布在以原點為圓心,算術根為半徑的圓周上,三個立方根對應的點構成正三角形;四次方根的結果除0之外,有兩個互為相反的實數和虛數.
二者都是與乘方運算互為逆運算.
四次方根
以下數值均取6位有效數字
1:±1.00000
2:±1.18921
3:±1.31607
公式
四次方根
四次方根
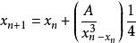
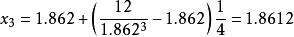
四次方根12介於-之間(1的4次方=1,2的4次方=16)
四次方根
四次方根
四次方根
四次方根
四次方根
四次方根
四次方根∴,=-1.86121,兩個虛根為±1.86121i.

