簡介
二次互反律
二次互反律
二次互反律
二次互反律二次互反律是經典數論中最出色的定理之一。二次互反律涉及到平方剩餘的概念。 設a,b是兩個非零整數,我們定義雅克比符號:若存在整數x, 使得,那么就記;否則就記。 在b是素數時這個符號也叫做勒讓德符號。
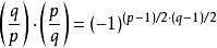
高斯二次互反律:
二次互反律設p和q為不同的奇素數,則
作用
二次互反律漂亮地解決了勒讓德符號的計算問題,從而在實際上解決了二次剩餘的判別問題。歐拉和勒讓德都曾經提出過二次互反律的猜想。但第一個嚴格的證明是由高斯在1796年作出的,隨後他又發現了另外七個不同的證明。在《算數研究》一書和相關論文中,高斯將其稱為“基石”。私下裡高斯把二次互反律譽為算術理論中的寶石,是一個黃金定律。 有人說:“二次互反律無疑是數論中最重要的工具,並且在數論的發展史中處於中心地位。”
高斯之後雅可比、柯西、劉維爾、克羅內克、弗洛貝尼烏斯等也相繼給出了新的證明。至今,二次互反律已有超過200個不同的的證明。二次互反律可以推廣到更高次的情況,如三次互反律等等。
二次互反律被稱為“數論之釀母”, 在數論中處於極高的地位。 後來希爾伯特、塞爾等數學家將它推廣到更一般的情形。
二次互反律
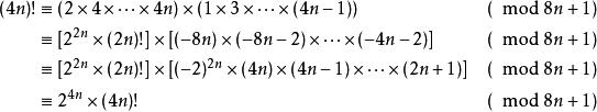
二次互反律二次互反律的一個特殊情形:2永遠是型質數的平方剩餘,永遠是型質數的非平方剩餘。
證明:
二次互反律
二次互反律∴當8n+1是質數時,必有.
二次互反律再由歐拉準則:
∴2永遠是8n+1型質數的平方剩餘,其餘的可類似證明。
二次互反律揭示了方程 可解和 可解的簡單關係。運用二次互反律可以將模數較大的二次剩餘判別問題轉為模數較小的判別問題,並最後歸結為較少的幾個情況,從而
在實際上解決了二次剩餘的判別問題。然而,二次互反律只能提供二次剩餘的存在性,對於二次同餘方程的具體求解並沒有實際幫助。
研究歷史
二次互反律曾被不少的數學家研究,因此二次互反律的敘述有很多種。要注意的是當時的數學記號並不統一。歐拉和勒讓德並沒有高斯的同餘記號,高斯也不知道勒讓德符號。
下文中的p和q總是不相等的正奇質數。
前期探索
費馬曾經證明了(或聲稱證明了)一系列關於將質數表示成平方和的定理
二次互反律
二次互反律若且唯若 p=2 或
二次互反律
二次互反律若且唯若p=2 或
二次互反律
二次互反律若且唯若 p=3 或
他並沒有給出二次互反律的陳述,儘管由此類的定理可以得到–1、±2和±3的情況。
此外歐拉曾經猜想(後被勒讓德證明):
二次互反律
二次互反律如果那么
二次互反律
二次互反律如果那么
證明費馬的這類命題是導致二次互反律的發現的因素之一。
首次敘述
歐拉在1783年曾經寫過(以現今的符號表示):
1) 如果 q≡ 1 (mod 4) 那么 q是模 p的二次剩餘若且唯若 p≡ r(mod q),其中 r是一個模 q的二次剩餘。
2) 如果 q≡ 3 (mod 4) 那么 q是模 p的二次剩餘若且唯若 p≡ ± b(mod 4 q), 其中 b為奇數但不被 q整除。
這是二次互反律首次被完整地陳述。歐拉也證明了2的情況。
首次證明
1801年出版的《算術研究》第131篇的部分,列出了二次互反律的8種情況
第一個完整地給出二次互反律的證明的人是德國數學家高斯。高斯在1796年給出了二次互反律的第一個證明。高斯首先證明了-1和2的情況。作為進行數學歸納法的開始,他證明了±3和±5的情況。他注意到-3和+5的情況較有規律,容易敘述,因此把定理敘述為:
如果 p 是形式為4n+1,那么 p(如果p是形式為4n+3那么-p是模每個為模p的二次剩餘(非剩餘)的質數的二次剩餘(非剩餘)。
推廣
二次互反律的推廣主要是在代數數論中。
二次互反律
二次互反律
二次互反律
二次互反律例如:高斯考察過四次互反律。在他的首篇論文裡他證明了一系列定理,其中最重要的是:如果,那么有解若且唯若,其中a、 b是整數。如果,那么模p的二次剩餘必然是四次剩餘。
在第二篇論文中,高斯引進了著名的高斯整數。高斯證明了模4餘1的質數總能分解為兩個高斯整數中質數的乘積、唯一分解定理等其它代數數論的基礎定理,並引進了一些基本概念,如範數和單位元。在高斯整數中,四次互反律的敘述十分簡單。高斯並且注意到在艾森斯坦整環中,三次互反律最為簡單。一部分的原因是高斯整數中1有4個四次方根,而艾森斯坦整數中1有3個三次方根。
其它的推廣是在以上整環中的二次互反律。高斯率先研究了高斯整數中的二次互反律。

