基本介紹
均方根
均方根
均方根
均方根
均方根
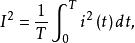
均方根在物理學中,除討論過電流在一個周期上的平均值外,還常考慮電流 的有效值,周期性非恆定電流 的有效值規定為:當 在其一個周期內,在負載電阻R上消耗的平均功率等於取固定值 的直流電流在R上消耗的功率時,稱這個 值為 的有效值。
均方根
均方根
均方根
均方根
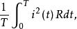
均方根由於固定值 的電流在電阻R上的消耗的功率為 ,電流 在R上消耗的功率為 它在一個周期T內的平均值為 所以
均方根從而
均方根即
均方根
均方根
均方根
均方根
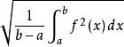
均方根數學上,將 稱為函式 在 上的 均方根。 所以,電流 的有效值即為它在一個周期上的均方根,由此可知
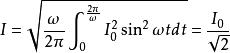
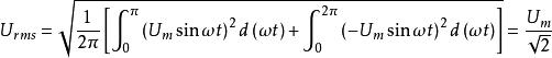
均方根(1) 沒有經過整流的電流 的有效值
均方根
均方根即正弦交流電的有效值等於它的峰值的 倍。
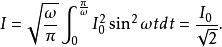
均方根(2) 整流為兩個交流半周的電流 的有效值
均方根結果與(1)相同,這是因為消耗的功率相同,而與電流方向無關。
均方根值
均方根
均方根
均方根
均方根均方根值是對信號波形或的平方求平均值,再進行開方的結果,記或。
均方根值也稱 有效值,它可以指示信號傳送功率的能力。不管什麼波形,具有相同均方眼值的信號傳送到阻性負載上的功率是相同的。
直流
直流電壓的均方根值仍是其標稱值,即
均方根矩形波
對矩形波信號的方程求均方根值,得
均方根正弦波
對正弦波電壓的方程求均方根值,可得正弦波電壓的均方根值(有效值)
均方根對於經二極體半波整流後的正弦波電壓,均方根值為
均方根對於經二極體全波整流後的正弦波電壓,均方根值為
均方根
均方根
均方根
均方根顯然,這個值與未進行整流的正弦波電壓的均方根值是一樣的。要注意的是,經全波整流的正弦波與經半波整流的正弦波從波形上看,前者是多了一倍,但經全波整流的正弦波電壓的均方根值並不是經半波整流的正弦波電壓均方根值的兩倍,而僅是一個倍的關係。不過,如果將全波整流後的正弦波電壓與半波整流後的正弦波電壓作用於同樣大小的阻性負載上時,前者產生的功率將是後者的兩倍。這是由於功率是電壓和電流的乘積,如果倍的電壓作用於阻性負載上時,則電流也會為倍,功率就將會是2倍。
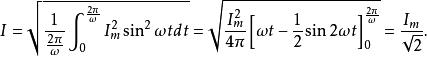
均方根例1 計算正弦交流電流的有效值。
解: 根據式(1),得有效值為
均方根
均方根由此可見,正弦交流電的有效值等於它的峰值的。

