概念
黎曼積分
黎曼積分
黎曼積分
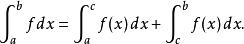
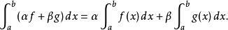
黎曼積分對於一在區間上之給定非負函式 ,我們想要確定 所代表的曲線與 坐標軸所夾圖形的面積,我們可以將此記為
黎曼積分
黎曼積分黎曼積分的核心思想就是試圖通過無限逼近來確定這個積分值。同時請注意,如 取負值,則相應的面積值 亦取負值。
圖1.作為曲線與坐標軸所夾面積的黎曼積分定義
1.區間的分割
黎曼積分
黎曼積分
黎曼積分
黎曼積分
黎曼積分一個閉區間[a,b]的一個分割P是指在此區間中取一個有限的點列 。每個閉區間 叫做一個子區間。定義 為這些子區間長度的最大值: ,其中 。
黎曼積分
黎曼積分
黎曼積分
黎曼積分再定義 取樣分割。一個閉區間[a,b] 的一個取樣分割是指在進行分割 後,於每一個子區間中 取出一點 。 的定義同上。
黎曼積分
黎曼積分
黎曼積分
黎曼積分
黎曼積分
黎曼積分
黎曼積分
黎曼積分
黎曼積分
黎曼積分
黎曼積分
黎曼積分
黎曼積分精細化分割:設 以及 構成了閉區間[a,b] 的一個取樣分割, 和 是另一個分割。如果對於任意 ,都存在 使得 ,並存在 使得 ,那么就把分割: 、 稱作分割 、 的一個精細化分割。簡單來說,就是說後一個分割是在前一個分割的基礎上添加一些分點和標記。
於是我們可以在此區間的所有取樣分割中定義一個偏序關係,稱作“精細”。如果一個分割是另外一個分割的精細化分割,就說前者比後者更“精細”。
2.黎曼和
黎曼積分
黎曼積分
黎曼積分
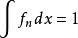
黎曼積分對一個在閉區間[a,b]有定義的實值函式 , 關於取樣分割 、 的黎曼和定義為以下和式:
黎曼積分
黎曼積分
黎曼積分
黎曼積分
黎曼積分式中的每一項是子區間長度 與在 處的函式值 的乘積。直觀地說,就是以標記點 到X軸的距離為高,以分割的子區間為長的矩形的面積。
圖2.黎曼積分——黎曼和(一列黎曼和。右上角的數字表示矩形面積總和。這列黎曼和趨於一個定值,記為此函式的黎曼積分。)
3.黎曼積分
不太嚴格地來說,黎曼積分就是當分割越來越“精細”的時候,黎曼和趨向的極限。下面的證明中,會對“越來越‘精細’”作出嚴格的定義。
黎曼積分
黎曼積分
黎曼積分要使得“越來越‘精細’”有效,需要把 趨於0。如此 中的函式值才會與 接近,矩形面積的和與“曲線下方”的面積的差也會越來越小。實際上,這就是黎曼積分定義的大概描述。
嚴格定義如下:
黎曼積分
黎曼積分
黎曼積分
黎曼積分
黎曼積分
黎曼積分
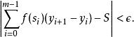
黎曼積分是函式 在閉區間[a,b] 上的黎曼積分,若且唯若對於任意的 ,都存在 ,使得對於任意的取樣分割 、 ,只要它的子區間長度最大值 ,就有:
黎曼積分
黎曼積分
黎曼積分
黎曼積分也就是說,對於一個函式 ,如果在閉區間[a,b] 上,無論怎樣進行取樣分割,只要它的子區間長度最大值足夠小,函式 的黎曼和都會趨向於一個確定的值,那么在閉區間[a,b] 上的黎曼積分存在,並且定義為黎曼和的極限,這時候稱函式 為 黎曼可積的。
黎曼積分這個定義的缺陷是沒有可操作性,因為要檢驗所有 的取樣分割是難以做到的。下面引進另一個定義,然後證明它們是等價的。
另一個定義:
黎曼積分
黎曼積分
黎曼積分
黎曼積分
黎曼積分
黎曼積分
黎曼積分是函式 在閉區間[a,b] 上的黎曼積分,若且唯若對於任意的 ,都存在一個取樣分割 、 ,使得對於任何比其“精細”的分割 和 ,都有:
黎曼積分
黎曼積分
黎曼積分
黎曼積分
黎曼積分這兩個定義是等價的。如果有一個 滿足了其中一個定義,那么它也滿足另一個。首先,如果有一個 滿足第一個定義,那么只需要在子區間長度最大值 的分割中任取一個。對於比其精細的分割,子區間長度最大值顯然也會小於 ,於是滿足
黎曼積分黎曼積分通常被定義為 達布積分(即第二個定義),因為達布積分比黎曼積分更簡單、更有可操作性。
性質
1.線性
黎曼積分
黎曼積分
黎曼積分
黎曼積分黎曼積分是線性變換,也就是說,如果 和 在區間[a,b] 上黎曼可積, 和 是常數,則:
黎曼積分
黎曼積分由於一個函式的黎曼積分是一個實數,因此在固定了一個區間[a,b] 後,將一個黎曼可積的函式設到其黎曼積分的映射 是所有黎曼可積的函式空間上的一個線性泛函。
2.正定性
黎曼積分
黎曼積分
黎曼積分如果函式在區間[a,b] 上幾乎處處(勒貝格測度意義上)大於等於0,那么它在[a,b] 上的積分也大於等於零。如果 在區間[a,b 上幾乎處處大於等於0,並且它在 上的積分等於0,那么 幾乎處處為0。
3.可加性
黎曼積分
黎曼積分如果函式 在區間[a,c] 和[c,b] 上都可積,那么 在區間[a,b] 上也可積,並且有
黎曼積分無論 a、 b、 c之間的大小關係如何,以上關係式都成立。
4.其他性質
1)[a,b]上的實函式是黎曼可積的,若且唯若它是有界和幾乎處處連續的。
2)如果[a,b]上的實函式是黎曼可積的,則它是勒貝格可積的。
黎曼積分
黎曼積分3)如果 是[a,b]上的一個一致收斂序列,其極限為 ,那么:
黎曼積分4)如果一個實函式在區間上是單調的,則它是黎曼可積的,因為其中不連續的點集是可數集 。
推廣
黎曼積分
黎曼積分黎曼積分可推廣到值屬於 維空間 的函式。積分是線性定義的,特別地,由於複數是實數向量空間,故值為複數的函式也可定義積分。
黎曼積分只定義在有界區間上,擴展到無界區間並不方便。可能最簡單的擴展是通過極限來定義積分,即如同反常積分(improper integral)一樣。
黎曼積分
黎曼積分
黎曼積分
黎曼積分
黎曼積分
黎曼積分
黎曼積分不幸的是,這並不是很合適。平移不變性(如果把一個函式向左或向右平移,它的黎曼積分應該保持不變)喪失了。一般要求積分存在且與積分順序無關。即使這滿足,依然不是我們想要的,因為黎曼積分與一致極限不再具有可交換性。例如,令 在 上,其它域上等於0。對所有 , 。但 一致收斂於0,因此 的積分是0。因此 。即使這是正確的值,可看出對於極限與普通積分可交換的重要準則對反常積分不適用。這限制了黎曼積分的套用 。
一個更好的途徑是拋棄黎曼積分而採用勒貝格積分。雖然勒貝格積分是黎曼積分的擴展這點看上去並不是顯而易見,但不難證明每個黎曼可積函式都是勒貝格可積的,並且當二者都有定義時積分值也是一致的。
事實上黎曼積分的一個直接擴展是Henstock–Kurzweil積分。
黎曼積分擴展黎曼積分的另一種途徑是替換黎曼累加定義中的因子 ,粗略地說,這給出另一種意義上長度間距的積分。這是黎曼-斯蒂爾切斯積分所採用的方法

