定義
定義1
對於一個函式,如果已知自變數取某一值時,可以不必通過解方程即能求得因變數的對應值,這樣的函式叫做顯函式。 或者說若y是x的函式,當直接給出y等於一個只含自變數和中間變數的解析式子時,此時y叫做自變數x的顯函式。
參考定義2
顯函式
顯函式
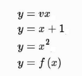
顯函式顯函式:一個函式如果能用形如的解析式表示,其中分別是函式的自變數與因變數,則此函式稱為顯函式,如等都是顯函式。
顯函式
顯函式
顯函式
顯函式隱函式:如果由方程可確定y是x的函式,即在某個範圍記憶體在函式,使,由這種方式表示的函式是隱函式。
參考定義3
顯函式顯函式:自變數與因變數已經明顯分離的函式稱為“顯函式”,如等都是顯函式。
顯函式
顯函式隱函式:自變數與因變數沒有明顯分離或無法分離的函式稱為“隱函式”(意思是這種函式的函式關係“隱藏”在方程之中),如等都是隱函式,一元隱函式的一般形式是。
隱函式與顯函式的區別
如果方程f(x,y)=0能確定y與x的對應關係,那么稱這種表示方法表示的函式為隱函式。 隱函式不一定能寫為y=f(x)的形式,如x +y =0。因此按照函式"設x和y是兩個變數,D是實數集的某個子集,若對於D中的每個值,變數x按照一定的法則有一個確定的值y與之對應,稱變數y為變數x的(顯)函式,記作 y=f(x)"的定義,隱函式不一定是“函式”,而是“方程”。 也就是說,函式都是方程,但方程卻不一定是函式。顯函式是用y=f(x)表示的函式,左邊是一個y右邊是x的表達式 比如y=2x+1。隱函式是x和y都混在一起的,比如2x-y+1=0。有些隱函式可以表示成顯函式,叫做隱函式顯化,但也有些隱函式是不能顯化的,比如e +xy=1。
顯函式
顯函式
顯函式顯函式與隱函式的區別不是絕對的。有些隱函式可以化成顯函式,如(R為常數)可以化成;有些隱函式如雖然也確定著x,y之間的函式關係,但y不能化為x的顯函式。
顯函式求導
顯函式
顯函式
顯函式
顯函式
顯函式
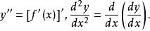
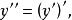
顯函式若可導函式的導函式仍然可導,則稱的導數為函式的二階導數,記作,或,即
顯函式或
顯函式
顯函式
顯函式相應地,稱為函式的一階導數。
顯函式
顯函式
顯函式
顯函式
顯函式
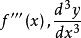
顯函式類似地,若仍然可導,則稱的導數為函式的三階導數,記作,或。
顯函式
顯函式
顯函式
顯函式一般地,若函式的n-1階導函式仍然可導,則稱n-1階導函式的導數為函式的n階導數,記作.或,即
顯函式或
顯函式
顯函式
顯函式
顯函式
顯函式函式在點處的n階導數值記作或。
顯函式
顯函式函式的二階及二階以上的導數統稱為函式的高階導數。

