簡介
在剩餘焓、剩餘熵的計算中用立方型狀態方程計算H 和S 的時候,必須將使用的狀態方程表示成V的顯函式形式,才可以進一步對T求偏導,進而求出H 和S 。這樣,做變換之後的求解式稱為體積顯函式。
剩餘焓、剩餘熵的計算
用立方型狀態方程計算H 和S 的時候:
體積顯函式(1)計算H 和S 的關鍵在於計算 項。
(2)首先必須將使用的狀態方程表示成V的顯函式形式,才可以進一步對T求偏導。
體積顯函式
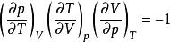
體積顯函式(3)立方型狀態方程是體積V的隱函式,壓力p的顯函式形式,為了計算方便,需要將H 和S 計算公式中的 , 改換成 的形式。
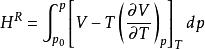
H 的體積顯函式:
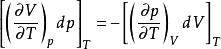
由於:
體積顯函式(1)
體積顯函式
體積顯函式
體積顯函式(2)
體積顯函式
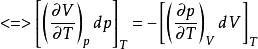
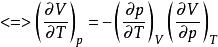
體積顯函式又因為 。
體積顯函式所以
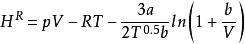
體積顯函式化簡之後得:
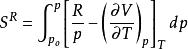
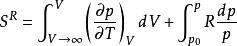
S 的體積顯函式:
由於:
體積顯函式
體積顯函式
體積顯函式所以 。
舉例
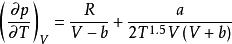
以RK方程為例:
體積顯函式在體積V不變的條件下對溫度T求偏導:
體積顯函式故
體積顯函式
體積顯函式