簡介
在社會、經濟、軍事等領域的決策活動中往往存在著多個決策者,這些決策者的行為都將對決策過程和決策結果產生影響。決策活動多種多樣,根據決策者之間的關係對決策進行分類,多人決策大致可分為三種類型:
(1)集體決策,在這種決策中,每個決策者的目標是一致的,但由於不確定性的存在和分散的信息結構,每個決策者會擁有不同的知識和信息,因此各個決策者可能無法實現完全的合作。現實生活中存在的董事會決策,專家委員會決策等都是這方面的例子。
(2)零和對策,在零和對策中,決策者之間的關係是對抗的,某人的獲得就意味著他人的失去。許多戰爭和體育競爭都是零和對策。
(3)非零和對策。在非零和對策中,決策者之間的利益既有共同的方面,也有互上衝突的地方。現實生活中的大多數多人決策都是非零和對策。在非零和對策中,各個決策者都根據自己的知識按照自己的利益進行決策,同時每個人要把他人看作外部環境和控制對象,但又無法精確預測他人的行動,而且他們還可能為了私利故意隱瞞真情,製造假象.因此,儘管非零和對策是廣泛存在而又十分重要的 。
定義
在對策論中有兩個基本概念:局中人和贏得。對策中,至少要有兩個被稱為局中人的參加者,對策結果是使局中人得到一份贏得,即局中人得到的利益。如果無論採用什麼對策,局中人的贏得加起來為零,則稱對策為零和的,即零和對策。在零和對策中,局中人完全對立,一個人的贏得就意味著另一個人的輸掉,如同人們在一起賭博。與此相反,不具備這種性質的對策為非零和對策。在非零和對策中,局中人並非完全對立。至少某種結果令雙方比較滿意 。
非零和決策是一類非完全對策,其一般形式為:
非零和對策非零和對策與零和對策是有差異的,零和對策是一種競爭、對抗的對策。在現實世界中除了軍事衝突或賭博之外,很少出現這種你死我活的局面,非零和對策表現為既有對抗又有聯合的緩和競爭 。
非零和對策中決策行為的複雜性
在非零和對策中,決策者面臨很多選擇策略,選擇不同的策略將會有不同的對策結果。下面的例子充分說明了這一點。
例如設有甲、乙兩公司壟斷了某種商品的市場與生產。記他們的產量分別為U1和U2,市場價格P是產量的函式。
非零和對策
非零和對策即投放市場的產量越多,市場價格越低。生產成本為: 。因此,他們的利潤分別為:
非零和對策下面分幾種情況進行討論。
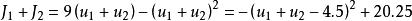
(1)設兩個公司願意合作,使總利潤取得最大。這時
非零和對策
非零和對策
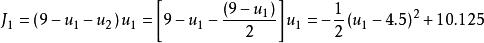
非零和對策當 時, 取得最大值20.25。這時甲乙兩公司形成了合作對策,所要解決的問題是如何分配雙方的產量和利潤。如果雙方的實力相當,則可能是平均分配,這時:
非零和對策
非零和對策
非零和對策
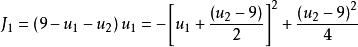
非零和對策(2)設雙方約定合作以後,乙公司背離約定。這時 ,據此乙使 取得最大:
非零和對策
非零和對策
非零和對策乙公司取 ,這時 ,乙公司達到了損人利己的目的。
(3)設雙方約定合作後,雙方都私下違約,這時:
非零和對策這種情況反而不如雙方都遵守條約。
(4)設甲乙兩公司沒有任何合作的聯繫,雙方各自尋求自己的利益。這時:
非零和對策
非零和對策
非零和對策
非零和對策
非零和對策
非零和對策為使 取得極大,甲取 滿足 ;同理,乙取 滿足 。
上兩式聯立,可得:
非零和對策這比雙方合作的結果稍差一些。這樣的對策就是非合作的非零和對策,得出的解稱為Nahs平衡解。
非零和對策(5)設甲公司爭取主導地位,他預見乙公司將按 來行動,據此甲公司採取行動:
非零和對策
非零和對策
非零和對策甲公司取 ,這時 。
可見甲公司採取的主導策略得到了很大的好處,而乙公司的收益很低。在實際中,上下級之間經常會形成這樣的對策,這樣的對策屬於主從對策,即Stackelberg對策。
(6)設甲乙雙方爭當主導而相持不下,則結果為:
非零和對策這導致了兩敗俱傷。
由上例可以看出,即使是很簡單的兩人非零和對策問題,決策者選擇不同的決策方式,可以得到完全不同的決策結果。在實際決策中,決策者的行為是很複雜的,非零和對策最後形成怎樣的結果,要依實際情況而定 。

