非線性方程
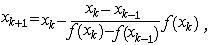
非線性方程數值解法nonlinear equation,numerical method of當f(x)是超越函式或高次多項式時,f(x)=0稱為非線性方程,此類方程除少數情形外,只能求近似解。求解非線性方程的主要方法是疊代法。使用這一方法一般至少要知道根的一個近似值x0,然後將原方程f(x)=0改變成與它同解但便於疊代的形式x=j(x),利用疊代公式xk+1=j(xk),k=0,1,2,……就能求出一系列逐步精確的近似值。例如常用的疊代法有:①牛頓疊代公式:
k=0,1,2,……式中x0為初始近似值。②割線疊代公式:k=0,1,2,……式中x0,x1為兩個初始近似值。
詳情
此外還有二次插值法、切比雪夫疊代法及艾特肯加速法等。評價一個疊代公式的優劣,除去收斂條件之外,主要是看它的效能指標,即達到規定的精確度所花費的代價。因此如何構造收斂的疊代公式,分析公式的收斂速度和收斂條件,以及加快收斂的技術,這些都是疊代法研究的課題。牛頓疊代具有較高的收斂速度和簡單靈活等優點,而且可以推廣到求解非線性方程組,擬牛頓法就是具有較高效能指標的求解非線性方程組的通行方法。
非線性方程以高精度算術為支持,可以差商型導數為指導,可計通用求解方法。
二次插值法也是高效的逼近方法,可以將非單調區間割分成單調區間,再高速逼近,其收斂速度明顯高於牛頓法。

