常微分方程邊值問題數值解法
正文
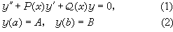
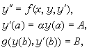
用某種離散化數值步驟求出常微分方程邊值問題在離散點上的近似解的方法。各種實際問題導出不同類型的邊值問題。較簡單的有二階常微分方程兩點邊值問題:求函式y=y(x),x∈【α,b】,使它滿足微分方程




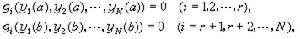
)上平方可積或要求當x趨於無窮時,y(x)趨於某極限值。還有些實際問題因要求解滿足多個點上的條件而被稱作多點邊值問題。近年來,對反映邊界層現象的奇異攝動邊值問題提出了一些新的數值解法。此外,關於存在多個解的分歧現象數值解問題也引起人們的注意。 解常微分方程邊值問題常用的數值解法有差分法和打靶法。
差分法 主要步驟是:將區間【α,b】作剖分

打靶法 主要思路是:適當選擇和調整初值條件,求解一系列初值問題,使之逼近給定的邊界條件。如果將描述的曲線視作彈道,那么求解過程即不斷調整試射條件使之達到預定的靶子,所以稱作打靶法或試射法,此類方法的關鍵是設計選取初值的步驟。對非線性邊值問題
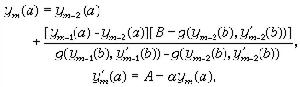
③ 將g(y(b),y┡(b))視為y(α)的函式,用線性逆插值法調整初值,即計算
然後進行④。 ④計算初值問題
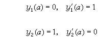
特別地,若微分方程是線性的,則打靶法變成線性組合法,即根據常微分方程理論適當選取初值可得到一組線性獨立解,利用它們的線性組合導出邊值問題的解。例如線性方程邊值問題



參考書目
P.Henrici,Discrete variable Methods in Ordinary Differential Equations, John Wiley & Sons,New York,1962.
S.M.Roberts and J.S.Shipman,Two-Point Boundary value Problems: Shooting Methods,Elsevier, New York,1972.

