引入
集合”一詞與我們日常熟悉的“整體”、“一類”“一群”等詞語的意義相近。例如,“數學書的全體”、“地球上人的全體”“所有文具的全體”等都可分別看成一些“對象”的集合。
我們看到的、聽到的、聞到的、觸摸到的、想到的各種各樣的事物或一些抽象的符號,都可以看作 對象.一般地,把一些能夠 確定的 不同的對象看成一個整體,就說這個整體是由這些對象的全體構成的 集合(或 集)。
集合是數學中的一個基本概念,我們先說明下,例如,一個書櫃中的書構成一個集合,一間教室里的學生構成一個集合,全體實數構成一個集合。一般的,所謂 集合(簡稱“集”) 是指具有某種特定性質的事物的總體,組成這個集合的事物稱為該集合的元素(簡稱”元“)。通常用大寫字母表示集合,小寫字母表示元素。比如a∈A,即元素a屬於集合A。
定義
子集是集合論的基本概念之一,指兩個具有包含關係的集合中的被包含者。
子集
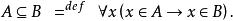
定義1 設A,B是兩個集合,如果集合A中任意一個元素都是集合B的元素,則稱A是B的 子集,記作A ⊆B或B ⊆A,讀作“A含於B”或“B包含A”.
A是B的子集可用符號表述為
非空真子集或
非空真子集真子集
非空真子集
非空真子集
非空真子集定義2 若A是B的一個子集,並且集合B至少有一個元素不在集合A中,即A B且A≠B,則稱A為B的 真子集,同時稱B為A的真擴集,記為A B或B A,讀作“A真含於B”或“B真包含A”.
A是B的真子集可用符號表述為
非空真子集或
非空真子集例如,B={a、b、c、d、e}真包含A={a、b、c},即A是B的一個真子集。
註:不含任何元素的集合稱為空集, 空集是任何集合的子集,且空集是任何非空子集的真子集。
非空真子集
定義3 若A是B的一個真子集,且A不是空集,則稱A為B的 非空真子集。
註:1.在一個集合的所有子集中,除空集和它本身之外的子集叫做非空真子集。
2.若A中有n個元素,則A有2^n個子集,(2^n-1)個真子集,(2^n-2)個非空真子集。
舉例
例如,{1,2}的子集有{1},{2} ,{1,2},∅,那么,它的非空真子集就是{1},{2}。

