化簡公式
雙重根號
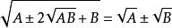
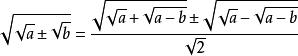
雙重根號當n=2時,x=√2(√a+√a-b),所以較為易取。化簡條件是a與a-b為平方數。
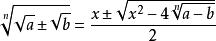
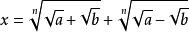
雙重根號當n≧3時,x的值符合以下等式,可通過測試x值化簡雙重根號。
雙重根號
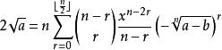
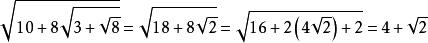
雙重根號雙重根號的化簡也常用配方法。
雙重根號
雙重根號
雙重根號化簡原理
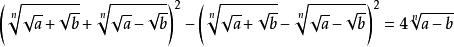
由以下關係得出:
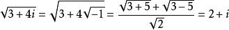
雙重根號複數的化簡
雙重根號
雙重根號多重根號化簡
雙重根號
雙重根號
雙重根號
雙重根號
雙重根號,數學用語,指的是根號內又帶根號。
雙重根號
雙重根號當n=2時,x=√2(√a+√a-b),所以較為易取。化簡條件是a與a-b為平方數。
雙重根號當n≧3時,x的值符合以下等式,可通過測試x值化簡雙重根號。
雙重根號
雙重根號雙重根號的化簡也常用配方法。
雙重根號
雙重根號
雙重根號由以下關係得出:
雙重根號
雙重根號
雙重根號
雙重根號
雙重根號
雙重根號
雙重根號。二次根式3°c=表示直角三角形內,斜邊等於兩直角邊的平方和的根號,即...:,即具有雙重非負性。算術平方根正數a的正的平方根和零的平方根統稱為算術...質因數或分解因式;③把根號內能開得盡方的因式或因數移到根號外;④化去根號...
定義性質和概念 幾何意義 運算法則 套用 二次根式的性質和最簡二次根式性質雙重非負性 算術平方根 在中a1.a≥0(若小於0,則為虛數...,就是這個數的算術平方根。產生根號(即算術平方根)的產生源於正方形的對角線長度“根號二”,這個 “根號二”的發現 一度引起了畢達哥拉斯學派的恐慌...
性質 產生 舉例 辨析 輸入方法簡單運算,一般加減乘除大家都會,值得注意的是帶根號的運算。根號運算掌握簡單...化為2/6,可知 下一個為2/86.帶根號的數列。這種題難度一般也不大,掌握根號的簡單運算則可。限於計算機水平比較爛,打不出根號,無法列...
推理簡介 解題前的準備 解題方法 總結 作者感想熟練掌握各種簡單運算,一般加減乘除大家都會,值得注意的是帶根號的運算。根號...,可知下一個為2/8帶根號的數列這種題難度一般也不大,掌握根號的簡單運算則可。限於計算機水平比較爛,打不出根號,無法列題。質數數列2,3,5,(7...
概述 準備 方法 總結 感想),則 的平方根 記作 ,“ ”讀作“正負根號 ”,其中 讀作“二次根號”,2... 的算術平方根,記作 ,讀作“根號 ”。 1.2.2.2算術平方根的性質:①具有雙重非負性,即: ≥0, ≥0② =a( ≥0...
。同時較之CASIO fx-991ES對隨機整數及方程保留根號等加以改進...(NATURAL-V.P.A.M.)電池類型:雙重電源(紐扣電池+太陽能電池板)重量:約...●方程式計算(可保留根號)●9種變數存儲●矩陣計算●複數計算●隨機數...
產品介紹 產品規格 功能簡介 注意事項 異常模式(研究中)《上帝擲骰子嗎》 摘要 愛因斯坦:「一個人的價值,應該看他貢獻了什麼,而不是他取得了什麼。」 愛因斯坦說:「我不相信上帝是靠擲骰...
《上帝擲骰子嗎》 序 第一章 黃金時代 第二章 烏雲 第三章 火流星作品簡介刀尖上跳舞,陰影中漫步。是獨行的王者,是死亡的使徒,是盜賊的榮耀!重生玩網遊,凡事搶先一步。前世,多少個無眠...
作品簡介 作者簡介 主要角色 章節目錄 相關作品)的雙重打擊,外層殖民地ChauSara行星被神族的龐大艦隊焚燒...和蟲族的雙重打擊下,聯邦政府倒台。曼斯克自己加冕為皇帝。定都克哈行星,改...
起源 地球人聯邦 星際爭霸Ⅰ 星際爭霸Ⅱ 歷史