公式概念
拉普拉斯變換是對於t>=0函式值不為零的連續時間函式x(t)通過關係式
雙側拉普拉斯變換(式中st為自然對數底e的指數)變換為復變數s的函式X(s)。它也是時間函式x(t)的“復頻域”表示方式。據此,在“電路分析”中,元件的伏安關係可以在復頻域中進行表示,即電阻元件:V=RI,電感元件:V=sLI,電容元件:I=sCV。如果用電阻R與電容C串聯,並在電容兩端引出電壓作為輸出,那么就可用“分壓公式”得出該系統的傳遞函式為H(s)=(1/RC)/(s+(1/RC)),於是回響的拉普拉斯變換Y(s)就等於激勵的拉普拉斯變換X(s)與傳遞函式H(s)的乘積,即Y(s)=X(s)H(s)
如果定義:f(t)是一個關於t的函式,使得當t<0時候,f(t)=0;s是一個復變數;F(s)是f(t)的拉普拉斯變換結果。
拉普拉斯逆變換,是已知F(s)' 求解f(t)的過程。
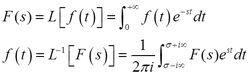
拉普拉斯變換公式拉普拉斯逆變換的公式對於所有的t>0,c' 是收斂區間的橫坐標值,是一個實常數且大於所有F(s)' 的個別點的實部值。
為簡化計算而建立的實變數函式和復變數函式間的一種函式變換。對一個實變數函式作拉普拉斯變換,並在複數域中作各種運算,再將運算結果作拉普拉斯反變換來求得實數域中的相應結果,往往比直接在實數域中求出同樣的結果在計算上容易得多。拉普拉斯變換的這種運算步驟對於求解線性微分方程尤為有效,它可把微分方程化為容易求解的代數方程來處理,從而使計算簡化。在經典控制理論中,對控制系統的分析和綜合,都是建立在拉普拉斯變換的基礎上的。引入拉普拉斯變換的一個主要優點,是可採用傳遞函式代替微分方程來描述系統的特性。這就為採用直觀和簡便的圖解方法來確定控制系統的整個特性(見信號流程圖、動態結構圖)、分析控制系統的運動過程(見奈奎斯特穩定判據、根軌跡法),以及綜合控制系統的校正裝置(見控制系統校正方法)提供了可能性。
圖2用 f(t)表示實變數t的一個函式,F(s)表示它的拉普拉斯變換,它是復變數s=σ+j&owega;的一個函式,其中σ和&owega; 均為實變數,j2=-1。F(s)和f(t)間的關係由下面定義的積分所確定:
如果對於實部σ >σc的所有s值上述積分均存在,而對σ ≤σc時積分不存在,便稱 σc為f(t)的收斂係數。對給定的實變數函式 f(t),只有當σc為有限值時,其拉普拉斯變換F(s)才存在。習慣上,常稱F(s)為f(t)的象函式,記為F(s)=L[f(t)];稱f(t)為F(s)的原函式,記為f(t)=L-1[F(s)]。
函式變換對和運算變換性質 利用定義積分,很容易建立起原函式 f(t)和象函式 F(s)間的變換對,以及f(t)在實數域內的運算與F(s)在複數域內的運算間的對應關係。表1和表2分別列出了最常用的一些函式變換對和運算變換性質。
拉普拉斯變化的存在性:為使F(s)存在,積分式必須收斂。有如下定理:
如因果函式f(t)滿足:(1)在有限區間可積,(2)存在σ0使|f(t)|e-σt在t→∞時的極限為0,則對於所有σ大於σ0,拉普拉斯積分式絕對且一致收斂。
基本性質:線性性質、微分性質、積分性質、位移性質、延遲性質、初值定理與終值
發展歷史
法國數學家、天文學家拉普拉斯(1749─1827年),主要研究天體力學和物理學。他認為數學只是一種解決問題的工具,但在運用數學時創造和發展了許多新的數學方法。1812年拉普拉斯在《機率的分析理論》中總結了當時整個機率論的研究,論述了機率在選舉、審判調查、氣象等方面的套用,並導入“拉普拉斯變換”。拉普拉斯變換導致了後來海維塞德發現運算微積分在電工理論中的套用。
優點
1.信號不必限制在範圍t>0內,在某些情況下把所研究的問題從時間負無窮到正無窮上作統一考慮,可使概念更清楚。
2.雙邊拉氏變換與傅立葉變換的聯繫密切,便於全面理解傅氏變換,拉氏變換及Z變換的關係。
與傅氏變換的關係
f(t)的雙邊拉普拉斯變換其實就是
雙側拉普拉斯變換的傅氏變換。如果雙邊拉普拉斯變換式的收斂域包括虛軸在內,則把F(s)中的s代換成jw就得到f(t)的傅氏變換,即有:
雙側拉普拉斯變換故可以把傅氏變換看成雙邊拉氏變換的特例,或雙邊拉氏變換是傅氏變換的推廣。
套用領域定理
有些情形下一個實變數函式在實數域中進行一些運算並不容易,但若將實變數函式作拉普拉斯變換,並在複數域中作各種運算,再將運算結果作拉普拉斯反變換來求得實數域中的相應結果。
在經典控制理論中,對控制系統的分析和綜合,都是建立在拉普拉斯變換的基礎上的。引入拉普拉斯變換的一個主要優點,是可採用傳遞函式代替常係數微分方程來描述系統的特性。這就為採用直觀和簡便的圖解方法來確定控制系統的整個特性、分析控制系統的運動過程,以及提供控制系統調整的可能性。
套用拉普拉斯變換解常變數齊次微分方程,可以將微分方程化為代數方程,使問題得以解決。在工程學上,拉普拉斯變換的重大意義在於:將一個信號從時域上,轉換為復頻域(s域)上來表示;線上性系統,控制自動化上都有廣泛的套用。
