定義
雅可比多項式
雅可比多項式
雅可比多項式
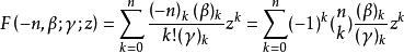
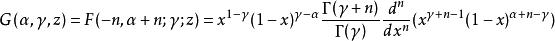
雅可比多項式超幾何函式 在 或 等於負整數-n時是一個多項式 .
雅可比多項式
雅可比多項式
雅可比多項式稱為n次 雅可比多項式(也稱 超幾何多項式),記作 ;
雅可比多項式
雅可比多項式它滿足雅可比微分方程 .
雅可比多項式
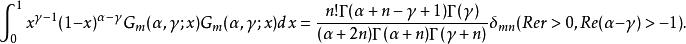
雅可比多項式的正交性
相關公式
雅可比多項式微分方程:
雅可比多項式
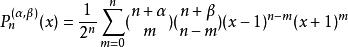
雅可比多項式顯式表達式: .
雅可比多項式遞推關係式:
雅可比多項式
雅可比多項式
雅可比多項式
雅可比多項式權: 標準化:
雅可比多項式模方:
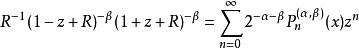
雅可比多項式母函式:
雅可比多項式
雅可比多項式
雅可比多項式
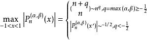
雅可比多項式不等式:,是最接近的兩個極大值點之一。
特例
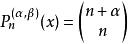
雅可比多項式
雅可比多項式
雅可比多項式公式中,當,它們可化為勒讓德多項式;時,它們可化為切比雪夫多項式。
