選址度量法址度量法的步驟
選址度量法的步驟如下:
1、明確必要因素。
在分析研究影響設施位置的各種因素時,首先明確哪些是必要因素。凡是不符合任何一個必要因素的方案,先被篩選掉。
2、對因素分類。
將各種因素分類,凡是與成本由直接關係、可以用貨幣表示的因素,歸為客觀因素,其它的則歸為主觀因素。同時,對客觀因素和主觀因素要分別確定其比重。如客觀因素和主觀因素同樣重要時,則其比重都是0.5。設X為主觀因素的比重,則:
客觀因素的比重值=1-Xx->[0,1]
若X越接近1,則主觀因素顯得越重要,反之亦然。
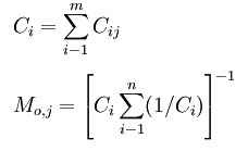
3、計算客觀度量值。
對每一可行性位置方案,應該計算它的客觀度量值。
其計算方法如下:
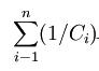
選址度量法式中,
Ci--第i可行性位置方案的總成本;
Cij--第i可行性位置方案中的第j項成本;
Mo,j--第i可行性位置方案的客觀度量值;
選址度量法--各可行性位置方案的總成本得到數和;
m--客觀因素的項數
n--可行性位置方案數目
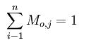
若將個可行性位置方案的度量值相加,則其綜合等於1,即:
選址度量法4、確定主觀評比值。
由於各種主觀因素多數定性因素,難以按量化值直接比較。但可以採用某些方法,將他們間接轉化為數量值表示,如採用強迫選擇法衡量各位值的優劣。這種方法是針對每一項主觀因素將每一可行性位置分別成對的比較。較佳位置的比重值定為1,較差位置的比重值定為0。然後,根據各位置所得到的比重值和總比重值,來求出某一主觀因素在某一可行性位置的主觀評比值。一般可按以下公式計算:
選址度量法式中,
Sik--第i可行性位置對第k因素的評比值;
Wik--第i可行性位置在第k因素中的比重;
選址度量法主觀評比值為--數量化的比較值,可以利用此數值來比較各可行位置的優劣。此數值一般在(0,1)範圍內,與接近1,則說明該位置越優於其他位置。
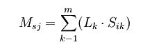
5、計算主觀度量值。
在評價時,主觀因素超過一個。同時,各主觀因素的重要性也可能不完全一樣。因此,對多項因素綜合評價時,還應確定各主觀因素的重要性指數。這種指數的確定方法也可套用上述的強迫選擇法(或採用專家評估法)。然後,根據每一因素的主觀評比值和該因素的重要性指數,分別計算每一可行性位置的主觀度量值,其計算公式如下:
選址度量法式中,
Msj--第i可行性位置的主觀度量值;
Lk--第k項主觀因素的重要性指數;
Sik--第i可行性位置對第k項主觀因素的評比;
M--主觀因素的項數。
6、確定位置度量值。
位置度量值是對某一可行性位置方案的綜合評價。其計算公式為:
選址度量法式中,
Ml,i--第i可行性位置方案的位置度量值;
X--主觀類因素的比重值;
(1 − X)--客觀類因素的比重值;
Ms,i,Mo,i含義同前。
7、決策。從多種可行性位置方案中,應當選擇位置度量值最大的可行性位置方案,作為設施位置。
選址度量法