概念
連續性原理是研究流體流經不同截面的通道時流速與通道截面積大小的關係。這是描述流體流速與截面關係的定理。當流體連續不斷而穩定地流過一個粗細不等的管子,由於管中任何一部分的流體都不能中斷或擠壓起來,因此在同一時間內,流進任意切面的流體質量和從另一切面流出的流體質量應該相等。
基本原理
連續性原理
連續性原理
連續性原理
連續性原理
連續性原理
連續性原理
連續性原理
連續性原理
連續性原理
連續性原理
連續性原理
連續性原理
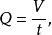
連續性原理構想在穩定流動的液體中,截取一個截面積很小的流管,在流管中我們取任意兩個截面、,它們的面積分別為和。我們所截取的流管橫截面積和,要求小到所有通過的流線都有相同的速度,通過的流線都有相同的速度,那么我們定義:在某一時間裡,通過某一橫截面上的液體體積和時間的比叫做通過這個橫截面的流量。如果用表示在時間內通過截面的流量,那么
連續性原理
連續性原理
連續性原理
連續性原理式中表示通過截面的液體的體積,並從此式可以看到流量的單位應是。
連續性原理
連續性原理
連續性原理
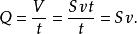
連續性原理因為在穩流中流體經過任一固定點的速度不隨時間變化,所以在任意時間內經過面的流體長度,這段時間內流過的流體的體積,所以
連續性原理
連續性原理
連續性原理
連續性原理
連續性原理
連續性原理
連續性原理
連續性原理
連續性原理若的單位為,那么,的單位為,的單位是。構想在所截取的微小流管中,通過截面處的流量,
連續性原理同理,
連續性原理
連續性原理由於理想流體的不可壓縮性,而且流體不會穿過流管的壁,即質量在運動過程中守恆,所以,即
連續性原理這個關係式叫做理想流體的連續性原理或連續性方程。
從這個關係式可得出:在同一流管內流體的流速和它流經的截面積成反比,即截面積大的地方流速小,截面積小的地方流速大。如果所取流管中兩處截面積相等,那么流體通過的速度也相同。

