基本介紹
在和差化積問題中,有些和差形式的表達式不能直接套用和差化積公式,但引進適當的輔助角後就可容易地將它們化為乘積形式,這裡給出幾種常見的引進輔助角的方法 。
常見引入輔助法的方法
asinx+bcosx (a、b是非零實數)
輔助角
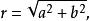
輔助角在直角坐標系中,設點M的坐標是(a,b),a,b≠0,並記 那么存在唯一的 使得
輔助角從而
輔助角注意:上面這種變形常用於有關振動的問題中。若考慮點N(b,a),令
輔助角則
輔助角a±b(a、b是非零實數)
輔助角引進角則
輔助角
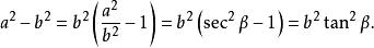
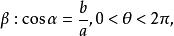
輔助角a²-b² (a、b是非零實數,|b|
輔助角若引進角則
輔助角
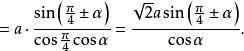
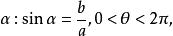
輔助角若引進角則
輔助角或者
輔助角a²+b² (a、b是非零實數)
輔助角引進角則
輔助角例題解析
將下列二式化為乘積形式:
輔助角(1)
輔助角(2)
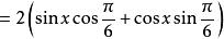
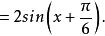
解:(1)我們有
輔助角
輔助角
輔助角
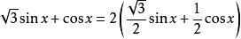
輔助角(2)取參照本題(1),則有
輔助角
