簡介
產生
貨幣替代含義
企業從銀行或海外取得外匯借款後並不是直接使用外匯資金,而是將外匯結匯給銀行,取得人民幣資金加以使用,這種現象稱之為“貸款替代”。之所以稱為貸款替代,是因為它與貨幣替代有密切的聯繫。
中國學者姜波克和楊槐(1999)對貨幣替代的定義是“所謂貨幣替代,就是指一國居民因對本幣的幣值穩定失去信心,或本幣資產收益率相對較低時發生的大規模貨幣兌換,從而外幣在價值貯藏、交易媒介和計價標準等貨幣職能方面全部或部分地替代本幣。”從貨幣替代的定義當中可以看出,外幣替代本幣執行貨幣的職能時,貨幣替代就發生。
貸款替代的實質就是外匯貸款替代人民幣貸款,因為企業在申請外匯貸款之後,並不是使用外匯資金,而是要使用人民幣資金,但是企業並不是直接去申請人民幣貸款,而是申請外匯貸款,外匯貸款實際上擠占了人民幣貸款,外幣替代人民幣具體從事信貸業務。
所謂貨幣替代,簡單來說就是指在開放經濟與貨幣可兌換條件下,本幣的貨幣職能部分或全部被外國貨幣所替代的一種經濟現象。貨幣替代現象在現代經濟中非常普遍,世界各國幾乎都不同程度地存在這種現象,譬如在該國人們可以使用外匯進行交易,持有外國金融資產等等。貨幣替代可分為直接貨幣替代和間接貨幣替代(McKinnon,1985)。
直接
是指兩種或多種貨幣在同一經濟區域作為支付手段相互競爭。也就是一個國家同時存在兩種或多種不同的貨幣,都可作為支付手段用於商品交易,經濟主體持有不同貨幣的交易餘額,而且各種貨幣之間可以無成本地自由兌換。因此,直接貨幣替代是貨幣作為支付手段的職能的替代。大量的實證研究發現,直接貨幣替代現象主要發生在金融開放程度較高的開發中國家。已開發國家的直接貨幣替代程度都非常輕微,而間接貨幣替代程度則相對較高。
間接
主要是指經濟主體持有以不同幣種表示的非貨幣金融資產並在這些資產之間進行轉換,從而間接影響對該國和外國貨幣的需求。人們對以不同貨幣表示的非貨幣金融資產的需求主要是出於規避投資風險的考慮,資產多元化可以減小預期外的經濟或政治波動帶來的損失。除了不同幣種的非貨幣金融資產的相互替代之外,同一幣種的貨幣和非貨幣金融資產的替代也是間接貨幣替代的一種形式,它同樣會通過間接的方式影響貨幣需求。在高通貨膨脹時期或預期將會發生高通脹時,人們會更多地購買能夠保值的固定資產,而儘可能減少貨幣持有量。與直接貨幣替代相比,間接貨幣替代更為普遍,對經濟的影響也更加複雜。
貨幣替代的分類可以通過下表加以描述(Mizen&Pentecost,1996)。表中第二列是該國貨幣CD和外國貨幣CF,第三列是分別以該國和外國貨幣表示的非貨幣金融資產。CD和GF之間的替代構成直接貨幣替代,BD和BF之間的替代是間接貨幣替代,而同一行中的替代(CD和BF或者CF和BF)則是間接替代的另一種類型。
貨幣替代現象是在布雷頓森林體系崩潰後出現的。在金本位制和布雷頓森林體系(金匯兌制)時代,各國貨幣按固定比例兌換,不存在匯率風險,因此也就沒有貨幣替代現象。在金本位制下,各國貨幣按照鑄幣中含有的貴金屬含量進行兌換,匯率只在由黃金輸送點確定的狹窄範圍內波動。布雷頓森林體系下,各國貨幣則是通過美元與黃金掛鈎,不同貨幣之間存在固定的平價。但是在鑄幣時期卻存在另一種意義上的“貨幣替代”現象,即同—‘幣種中貴金屬含量多的貨幣被含量少的貨幣所替代。這一劣幣驅逐良幣的規律被稱為格雷欣法則。布雷頓森林體系崩潰後出現的貨幣替代呈現出與此相反的特點,即良幣替代劣幣,經濟學家將這種規律稱為格雷欣法則Ⅱ。之所以出現這種倒置的狀況是因為紙幣本身沒有價值,當發生通貨膨脹或者貨幣貶值時,貨幣的購買力會降低,所以人們更願意將劣幣兌換成良幣以避免購買力的損失。
步驟
取得外匯貸款
國內企業可以從三個渠道取得外匯貸款:從該國金融機構取得外匯貸款;從國內的外資銀行取得外匯貸款;從國際金融市場借款。
辦理結匯
貨幣替代在取得了外匯貸款之後,國內企業往往並不是需要使用外匯資金,而是需要人民幣資金。所以企業會通過各種途徑,將外匯資金結匯成人民幣資金加以使用。雖然根據外匯管
理有關規定,企業國內外匯貸款不允許結匯為人民幣使用,但是一些創匯企業採取“偷梁換柱”的手法,利用外匯貸款支付進口貨款,同時將出口收入的外匯結匯成人民幣,使一部分外匯貸款通過置換進入經常項目下結匯。
使用人民幣
結匯後,得到了人民幣資金,就可以在國內加以使用。
償還外匯貸款
外匯貸款到期時,國內企業要籌措外匯資金,償還銀行的外匯貸款或海外借款,從而完成貸款替代的全部過程。
政策效應
貨幣替代貨幣替代現象在世界範圍內廣泛存在。據美聯儲估計,美元發行量的55%為外國人持有,而在歐元正式啟動以前,約有l/3的馬克在德國以外流通;IMF的統計也表明,至少有52個國家存在高度或中度的外幣替代本幣的現象。隨著金融全球化的進一步深化,新興市場國家和地區紛紛放鬆國內的金融管制,允許經常項目和資本項目下的自由兌換,從而使得本外幣的轉換更為自由方便,成本也更低。然而一國貨幣替代範圍的擴大、程度的加深並不必然導致正式美元化。對於大多數新興經濟體來說,美元化仍是一種新型的貨幣制度。除巴拿馬在1904年完全以美元替代本幣以外,其他國家如薩爾瓦多、厄瓜多、瓜地馬拉的美元化進程只是在近期才得以展開。
貨幣替代的政策效應分析
關於美元化對經濟發展的影響已有許多分析,然而簡單的利弊分析並不能充分說明一國是否應該採納美元化作為其貨幣制度。由於貨幣替代是最後實施正式美元化的必經過程,而且強勢外幣替代弱勢本幣的現象在新興經濟體中早已存在,因此分析貨幣替代的政策效應進而將其與正式美元化的影響加以對照,將更有助於理解這一新型貨幣制度對新興經濟體的意義。
(一)財政政策效應
強勢外幣對本幣的替代無疑將改變居民手中本幣的持有量,從而影響政府稅收和債券收入。具體來看,這種影響主要體現在以下幾方面:
1.鑄幣稅。鑄幣稅是政府通過發行貨幣而形成的購買力。貨幣替代使得一國貨幣在某種程度上由被替代貨幣的發行國來供給,從而將該部分的鑄幣收入拱手讓給了該國。鑄幣稅的損失隨著貨幣替代程度的加深而擴大,當一國實行正式美元化時,政府將完全喪失鑄幣收入。鑄幣稅的損失將束縛政府的預算支出,出現財政赤字時也難以通過發行貨幣加以彌補。
儘管如此,在分析美元化的財政政策效應時,不應過分強調鑄幣收入的損失。一國之所以出現強勢外幣替代本幣的現象,很大程度上是由於政府過分依賴鑄幣收入,濫發貨幣導致持續的通貨膨脹,使本國居民對本幣產生強烈的貶值預期,從而發生本外幣的轉換。由此來看,鑄幣稅損失可視為對政府濫發貨幣的一種懲罰,而鑄幣收入轉向強幣發行國則是對該國保持貨幣高質量的一種補償。此外,由於廣泛的貨幣替代在新興經濟體中已是一種事實,無論是否實行正式美元化,都難以避免鑄幣稅的損失,因此正式美元化的鑄幣稅成本也許被誇大。若一國實行的是雙邊美元化,即與貨幣發行國達成協定分享鑄幣稅,這種損失還將縮小。從流量損失來看,由於電子貨幣減少了現金的使用,鑄幣稅在美元化的過程中相比預期也將有所下降。
2.通貨膨脹稅。通貨膨脹稅是政府以增發基礎貨幣的方式向社會徵收的一種隱含的鑄幣稅。增發貨幣必然導致通貨膨脹和貨幣貶值,使債權人的資產縮水,而政府作為債務人則獲得收益。理性的經濟主體出於自身資產保值的需要,將減持本幣,增持外幣。對本幣需求的減少將縮小通貨膨脹稅的稅基,影響政府的財政融資能力,要徵得同等數額的收入,只有依靠提高通貨膨脹率,結果會導致更高程度的貨幣替代。美元化將使政府完全失去通貨膨脹稅收入。
雖然美元化難以通過徵收通貨膨脹稅來增加支出或彌補財政赤字,進而影響社會總需求,但幣值穩定帶來的收益將更有利於投資的擴大,經濟的增長。更重要的是,完全貨幣替代所蘊含的通貨膨脹約束可能使貨幣替代成為抑制通貨膨脹的有力韁繩。
貨幣替代3.國債發行。國債發行收入是政府財政收入的重要組成部分。當本幣的貶值預期上升,且國內經濟形勢不穩定時,作為國債購買主體的金融機構從資產合理組合的角度出發,會降低對國債的需求。國債認購率的下降不只影響國債交易的交易稅和所得稅,更重要的是為完成收入預算,提高國債的吸引力,政府只能降低債券的發行價格,或者提高利率,這將不可避免地增加融資成本以及財政赤字,從而破壞經濟穩健、持續的發展。
在實行美元化後,幣值的穩定以及國內經濟形勢的穩定可使政府國債的收益提高,從而在一定程度上緩解貨幣替代在國債市場上對財政收入的影響。
4.證券市場稅。發生大規模貨幣替代的國家,其證券市場往往也不發達,因此證券市場稅在這些國家財政收入中所占比重比較小,投資者入市的目的主要是為賺取證券買賣的差價收入,因此政府在證券市場中的稅收收入主要以印花稅為主,而印花稅的多少與股市交投活躍程度有關,取決於證券市場中本幣資金的投放量。貨幣替代將直接減少證券市場上本幣資金的投放量,從而削弱政府以印花稅進行融資的能力。
(二)貨幣政策效應
貨幣替代與美元化對一國巨觀經濟的影響首先體現在貨幣政策效應上,貨幣替代對貨幣政策的影響主要集中在以下方面:
1.貨幣政策的獨立性。國際經濟學中的“三元悖論”決定了在難以進行嚴格的資本管制的情況下,實行正式美元化將使一國不可避免地失去貨幣政策的獨立性。貨幣發行權的喪失將使央行無法在銀行體系陷入流動性困境時實施最後貸款人的職能;更嚴重的是在美元化國家經濟陷入衰退時,由於政府國內融資能力有限,國際外債又具有脆弱性,難以利用財政政策夾刺激經濟,而獨立性的喪失使本國貨幣政策只能從屬於並不適宜本國情況的美國的貨幣政策,因此將極大地弱化政府巨觀經濟調控的職能。
根據蒙代爾—弗萊明模型,一國只有採取浮動匯率制度才能保有其貨幣政策的獨立性和有效性。然而在金融管制逐漸放鬆的背景下,由於從需求方面來看一國貨幣並不一定是非替代品,因此即使在浮動匯率制度下也會發生貨幣替代。如果一國大部分居民和企業持有分散化的資產組合,其貨幣政策的獨立性也將不再成立。此外,金融全球化下的金融開放使巨觀經濟政策操作的難度加大,成本提高,執行獨立的貨幣政策也難以達到預期的調控效果。在最後貸款人這一方面,也不應過分強調美元化的負面效應,事實上,央行僅靠發行貨幣來處理危機的能力是有限的。相反,由於美元化國家必將允許外資金融機構自由進入本國,因此,除可提高國內金融機構的競爭力、穩定金融形勢以外,更重要的是外資銀行的貸款可起到最後貸款人的作用。同時幣值穩定的美元還可以降低發生銀行擠提的可能性。
貨幣替代2.貨幣供給與需求。外幣對本幣不同程度的替代不僅會削弱貨幣供給的可控性,而且還會增加國內貨幣需求的不穩定,從而影響一國貨幣政策的效果。首先,當一國貨幣當局增加基礎貨幣的投放時,由於利率的降低使得持有本幣的成本下降,因此對本幣的需求會相應上漲,如果同期外國並未實施同樣的貨幣政策,則本幣需求的一部分會流向國外,因此本國價格的上漲比沒有貨幣替代時要低。貨幣的持續投放將強化人們對本幣貶值的預期,提高持有本幣的機會成本,因此本國居民會轉而增持外幣,而減少對本幣的需求。在這種情況下,實際貨幣供給量與名義貨幣供給量之間會發生偏差,從而使擴張性的貨幣政策難以實現預期目標。其次,當貨幣當局採取緊縮性的貨幣政策時,儘管通貨膨脹下降,但由於貨幣替代具有時滯,本外幣的轉換存在既定的成本,因此貨幣替代程度不會隨之下降,對本幣的需求不會迅速增加,從而影響貨幣政策的緊縮效果。此外,即使本國貨幣供給沒有改變,由於貨幣替代的存在,在被替代國的貨幣政策收縮或擴張時,同樣會影響本幣的供給與需求,進而影響本國貨幣政策目標的實現。
對於新興經濟體來說,由於貨幣替代是非對稱性的,即在存在本幣轉換為外幣的可能性時外國居民並沒有對本幣的需求,因此貨幣替代對本國貨幣供給與需求的影響主要體現在本幣有強烈的貶值預期或外國資產的收益率明顯高於本國時,居民對貨幣的需求由本幣轉向外幣,從而難以通過擴張性的貨幣政策實現增加就業、擴大生產等目標。
3.貨幣政策的中介目標。貨幣替代使得貨幣供需會受到外生因素的影響,因此貨幣供給量作為貨幣政策中介目標的作用將被削弱。此外,由於調整利率會引起一國貨幣的持有成本或實際收益率的變動,從而導致貨幣替代,因此貨幣當局也難以利用利率的變動來調控經濟。
(三)匯率政策效應
貨幣替代對匯率政策的影響主要體現在匯率的穩定性、匯率政策的有效性以及國際收支平衡三個方面。
1.匯率的穩定性。匯率水平主要取決於貨幣供給量、名義利率差異、預期通貨膨脹率差異和貨幣替代程度。當名義利率保持不變時,匯率的波動取決於兩國通貨膨脹的差異。本國較高的通貨膨脹會使居民降低對本幣的需求,增加對外幣的需求,這種貨幣替代的行為使得該國通貨膨脹水平更高,從而導致匯率更大幅度的波動。貨幣替代的存在放大了通貨膨脹差異對匯率波幅的影響。從名義利率來看,由於利率的變動會促使本外幣轉換,因此使匯率對名義利率的變化更為敏感,貨幣替代程度越高,匯率水平就越不穩定。在浮動匯率制度下,匯率會因貨幣替代的存在而更加動盪不定,從而影響貿易、投資以及整個巨觀經濟的穩定發展。固定匯率制度下,即使貨幣當局可以通過外匯市場的干預來對沖不穩定的匯率,但是由於貨幣替代使得匯率對利率和通貨膨脹的變化十分敏感,因此干預成不將很高,而效果卻不佳,且極易導致本幣的高估或低估,引致投機資本的衝擊。
為解決貨幣替代對匯率的負面影響,最根本的辦法就是使兩種貨幣的預期收益率一致,實施穩健的巨觀經濟政策扭轉貨幣替代的趨勢。但是由於新興經濟體的巨觀經濟運行中固有的缺陷使得本幣與外幣的預期收益率很難趨於一致,禁止本外幣轉換又會引起資本的外逃,在這種情況下,實行完全美元化,取消本幣與外幣之間的匯率,將是解決貨幣替代對匯率不穩定影響的有效方法。
2.匯率政策的有效性。在浮動匯率制度或可調整的釘住匯率制度下,一國可採取貶值的方式來提高本國產品的競爭力,而在完全固定的美元化制度下,將難以利用靈活性的匯率政策應對不利的貿易形勢。
在貨幣替代廣泛存在的情況下,新興經濟體即使實行浮動匯率制度也難利用貶值的方式來達到刺激出口的目的。由於本幣貶值將強化居民的貶值預期,引起貨幣替代並導致通貨膨脹的迅速發生,使本國商品價格提高,從而抵消本幣貶值對出口的正面效應。經驗表明,對於存在貿易赤字的開放經濟的小國來說,貶值的匯率政策將是無效的,不但不能增加出口來彌補赤字,反而容易引發通貨膨脹。
3.國際收支平衡。貨幣替代的存在使得一國難以利用貶值的方式來增加出口,反而會因進口價格的上升多支出外匯而導致國際收支經常項目的惡化。此外,本幣貶值以及通貨膨脹率在貨幣替代的作用下進一步的提高,還將引起投資收益率的降低,影響投資者對本國經濟的信心,不利於吸引外國投資;更重要的是,如果政府與企業持有大量的外債,本幣貶值將增加其還本付息的負擔,進一步耗損該國的外匯儲備,進而導致國際收支資本項目的逆差。而在美元化制度下,由於完全採用美元作為本國貨幣,因此匯率的波動也將與美元趨同。作為一種關鍵貨幣,美元的幣值較為穩定,從而有利於該國擴大對外貿易,吸引國際直接、間接投資,改善國際收支狀況。
匯率效應
一、貨幣替代的匯率效應
貨幣替代是開放經濟下的一種貨幣性擾動,它對一國的經濟金融形勢產生嚴重影響,如貨幣政策的獨立性和有效性受到影響、政府的財政稅基遭到削弱、國際收支失衡、減緩甚至阻礙該國貨幣的自由兌換進程等,更為重要的是它會造成一國匯率水平的劇烈波動。
1、靜態的角度
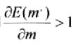
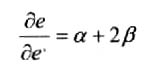
一般說來,貨幣替代現象表現為本國居民大量地用本幣來兌換外幣。貨幣替代程度越高,人們對外幣的需求也就越高。在外幣供給沒有大幅變動的情況下,外匯市場的供需不平衡狀況就決定了本幣匯率會大幅貶值,而外幣匯率大幅升值。美國的DonRoper和LanceGirton認為,在貨幣替代條件下,貨幣需求主要取決於本外幣之間以及本外幣和非貨幣資產之間的真實收益率之差。並根據購買力平價理論及費雪方程式,得出公式:
貨幣替代其中:e表示匯率;e’表示對匯率的預期;α表示本外幣與非貨幣資產之間的替代彈性;β表示本外幣之間的替代彈性;上式表明,貨幣替代程度對匯率水平有重要影響,貨幣替代係數β越大,預期匯率的變動對當期名義匯率e的影響也就越大,即貨幣替代會超成匯率的不穩定性。極端地,當:
貨幣替代即如果貨幣替代趨向無窮大(完全替代),則匯率也趨向無窮大,本幣一錢不值。其本質含義是指某些國家已放棄了本國貨幣的使用,而用外國硬通貨完全取代本幣,拉美國家的美元化現象即是如此。
2、動態的角度
上述貨幣替代對本國匯率的影響分析只是從靜態的角度進行了考察,而未涉及動態的匯率決定,特別是未涉及一國貨幣供給量發生變化時,匯率的波動幅度問題。由於貨幣存量的大小會影響單位貨幣的購買力,所以一國貨幣供給量的變動會造成本外幣之間相對價值發生變化,在貨幣替代的前提下,國內居民必然會用幣值穩定的貨幣來替代幣值下降的貨幣,因而大規模的兌換必然會導致匯率的波動,甚至超過貨幣供給的增長幅度。在這一方面,瑞士的Manfred Gartner提出了匯率的“放大效應”,即一國持續性的通貨膨脹政策會導致本幣匯率的貶值幅度超過本幣供給量的增長幅度。並根據匯率是可以預期的、購買力平價成立及非拋補的利率平價成立等前提條件,得出公式:
貨幣替代二、當前人民幣匯率制度的選擇
自2005年7月21日,我國開始實行以市場供求為基礎、參考一籃子貨幣進行調節、有管理的浮動匯率制度。同年公布了一籃子貨幣的組成原則,其中:美元、歐元、日元、韓元等是主要的籃子貨幣,另外新加坡、馬來西亞、俄羅斯、澳大利亞、加拿大、泰國等與我國貿易量比較大的國家的貨幣,也在人民幣匯率參考的一籃子貨幣範圍之內。對於現階段我國的匯率狀況來說,應該是一個十分理性的選擇。下面著重從貨幣替代的匯率效應,即從靜態的角度、動態的角度這兩方面,對當前的人民幣匯率制度進行分析。
1、靜態的角度
儘管自1994年以來,單一釘住美元的匯率制度取得了巨大的成功,但是在面臨新的經濟運行環境的情況下,繼續維持釘住匯率制度成本是很大的,同時,我國尚未具備浮動匯率制度所需的條件和環境,難以承受浮動匯率制度的衝擊。正如歐元之父蒙代爾所說的,當前放鬆人民幣匯率管制,允許人民幣匯率升值必須滿足三個前提:人民幣可兌換、國際收支平衡、全球經濟穩定,而最關鍵的國內問題是國內金融體系的脆弱性,這些問題都還沒有得到解決,以及市場預期的波動性極大的特點,使得人民幣匯率極易發生逆轉,給脆弱的金融體系帶來嚴重的後果。可以預見,匯率一旦自由浮動,國際、國內的炒家將會利用經濟金融體系內的結構性缺陷爆炒人民幣,會使人民幣匯率的波動加大,根本不會達到所謂的市場均衡匯率水平,這種結果極有可能導致人民幣大幅貶值,國內的商業銀行不良資產大幅上升,甚至導致金融危機,給中國經濟帶來一系列難以預期的不良後果。其路徑為:
放鬆管制→人民幣匯率升值→實際因素、非實際因素→人民幣匯率貶值→貨幣替代程度擴大→人民幣匯率更大幅度的貶值→金融危機
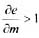
即一旦放鬆管制,由於人民幣已積累了大量的升值預期,短期內必然導致人民幣升值,但因為國內金融體系的脆弱性、市場預期的波動性,使得人民幣匯率極易發生逆轉,而一旦人民幣匯率貶值,公眾出於保值需求,必然引發貨幣替代。正如唐羅撥(DonRoper)和蘭斯格爾頓(LanceGirton)認為的,貨幣替代程度β越高,使得
貨幣替代的值越大,即預期的匯率變動會導致當期名義匯率的更大波動,進而引發更大規模的貨幣替代,形成貶值——替代——再貶值的惡性循環,這種匯率變動的大起大落帶來的系統風險必定會對我國的經濟金融形勢產生嚴重影響。由市場決定的人民幣匯率水平肯定是中國匯率制度改革的方向,但是當前,由於匯率形成機制的不完善,不可能完全放開匯率的管制,而回歸有管理的浮動匯率制度,即放棄了一味盯住美元的固定盯住制,降低了維持這一制度的成本,又能維持人民幣匯率的相對穩定,不致對當前經濟形勢產生不利影響。
2、動態的角度
由於我國近幾年國際收支大量順差、外匯儲備大幅增長,如果央行不進行干預或干預力度不足,必然引起人民幣匯率的升值。而央行為了維持匯率的相對穩定,不得不大量購入外匯,投放基礎貨幣,導致貨幣供給量大幅增長,通貨膨脹壓力加大。為了減輕通貨膨脹壓力,央行不得不擴大票據發行,或採取“對沖”政策等手段,但是由於這些手段往往執行的成本過高並且對通脹壓力的抵消作用也是有限的,通貨膨脹的壓力並不能完全消除,這就使得經濟主體極易形成通貨膨脹預期,進而引起匯率較大幅度的貶值。其路徑為:
持續擴張本幣→通脹預期→貨幣替代、貨幣政策的不確定風險→本幣匯率大幅貶值
即由於貨幣當局持續擴張本幣,使得公眾形成了通貨膨脹預期,即:
貨幣替代這樣公眾由於保值需求,必然引發貨幣替代;而且由於我國目前的巨觀經濟政策的透明度不高,公眾在市場中獲得的信息不充分,並且央行在調控巨觀經濟時還缺乏足夠的政策手段和豐富的實踐經驗,政策的一貫性與科學性有待於進一步提高,因此對公眾而言,貨幣政策的不確定性風險也很大,即:
貨幣替代說明由於通貨膨脹預期引起的大規模的貨幣替代會導致本幣匯率的貶值幅度超過貨幣供給的增長幅度,即蓋納爾所說的匯率的“放大效應”。針對這種情況,為了維持相對穩定的匯率體制,央行不得不投放更多的基礎貨幣,從而導致匯率更大的放大效應、更多的基礎貨幣投入,形成擴張本幣—匯率放大貶值—再擴張本幣的惡性循環,這一循環過程將使得央行為維持相對穩定匯率制的成本越來越大,並最終不得不被迫放棄這一政策。因此,從較長期來看,應逐步為提高匯率形成機制的市場化程度創造條件,減輕央行被動操作的壓力,進而放鬆人民幣匯率的浮動範圍,實行靈活的匯率制度,這或許正是央行對付通貨膨脹的最好的辦法。
本次匯率制度改革使得央行不再盯住單一的美元貨幣,當然也不是盯住一籃子貨幣,而是參考一籃子貨幣。這是因為不管盯住什麼貨幣,都免不了可能受到投機資本的衝擊。在匯率改革過程中,由於實行管理浮動匯率並且只是參考一籃子貨幣,對中央銀行來說是十分有利的,使得央行在實際操作中獲得了更大的主動性、提高了巨觀調控的靈活性,而且可以更全面的反映我國的貿易狀況,特別是有利於分散我國匯率的風險,可以避免交叉匯率的不穩定。本次匯率制度的進一步改革表明,有管理的浮動的匯率制度在一定程度上結合了固定匯率制度和盯住一籃子貨幣制度的優點,可以說是成功的。這一匯率制度的改革可以實現匯率水平的基本穩定和增加人民幣的競爭力,可以在面臨外部和內部衝擊,國內物價和工資的逐步調整無法吸收衝擊所產生的影響時,可以從容地對匯率水平進行調整,可以在地區性或全球性貨幣衝擊或金融危機對我國經濟金融產生較大影響時,對市場進行積極干預,使危機傳染、通貨緊縮、資本外逃等的影響降低到最低程度。更為重要的是,這一匯率制度的改革表明中國政府在匯率形成機制的市場化程度上又邁進了一步。
得出結論綜合以上分析,得出結論:回歸有管理的浮動匯率制度符合我國當前的實際情況,是一個非常十分理性的選擇,它有利於繼續保持人民幣匯率的相對穩定,並為提高匯率形成機制的市場化程度創造條件。
貨幣政策
1969年3月,V.K.Chelly在(美國經濟評論)上發表論文首次提出“貨幣替代”這一概念。進入20世紀70年代以後,隨著以布雷頓森林貨幣體系為代表的固定匯率制被浮動匯率制代替,人們普遍認為浮動匯率制度有利於一國貨幣當局維持其貨幣主權,可以根據國內的經濟情況獨立地制定和實施貨幣政策。因此,傳統理論認為在浮動匯率制下,國際收支總是趨於平衡,不存在兩國之間貨幣的淨流動,貨幣當局也無需干預市場以保證幣值,所以,浮動匯率制將使得兩國貨幣在供給方是完全不替代的。但是麥爾斯(MareA.Miles,1978)提出質疑,理由是傳統理論只關注貨幣供給方面的擾動在國家間的傳遞,而貨幣替代現象的出現使得貨幣需求方的國際聯繫更加明顯,所以即使在完全浮動匯率制度下,國內居民對本外幣的相對需求變化也會改變國內的貨幣總量,從而影響貨幣政策的有效性,使得該國貨幣政策或多或少受到其他國家貨幣政策的制約。我們可以看到,貨幣政策在浮動匯率制下保持完全獨立性的一個重要前提是各國貨幣在需求方也是不替代的,即一國居民只持有該國貨幣。但在當前的國際經濟一體化環境中,這一前提顯然是難以成立的。外國貨幣政策的變動會導致該國居民和企業對本外幣的相對需求發生變化,對持有的現金餘額幣種結構和數量進行調整,從而導致貨幣的跨國流動,使該國的貨幣政策喪失獨立性。瓊斯(DouglasH.Joinse,1985)的觀點認為在開放經濟中,若兩國之間私人部門把本外幣均視為生產貨幣服務的可替代投入,那么持有一種貨幣的機會成本上升,在其他條件不變的時候會引起兩國對另一種貨幣的需求增加,從而導致貨幣的跨國流動,削弱了該國貨幣政策的獨立性。羅傑斯(JohnH.Rogers,1990)研究了貨幣替代條件下外國較高的通貨膨脹率對本幣的實際需求、本幣流通速度,特別是對該國通貨膨脹率的影響。他認為外幣實際餘額的初始存量和對外幣餘額的需求彈性是形成該國經濟對浮動匯率制“隔絕效應”的兩個主要變數。另外,Bergstrand和Bundt(1990)運用協整的實證方法分析了貨幣替代對美國貨幣政策獨立性的影響,研究結果表明,從長期來看,貨幣替代是影響貨幣政策獨立性的重要因素。
麥爾斯(MainA.Miles,1978)建立開放經濟下的兩國模型,做出如下假定:兩國間存在對稱性的貨幣替代現象;兩國貨幣間是完全自由兌換,資本市場也是高度開放的;世界範圍內貨幣需求與供給總是平衡的;兩國的利率水平是人們持有本外幣餘額的相對機會成本;價格浮動是彈性的,不考慮時滯。由此證明在貨幣自由兌換和浮動匯率制的條件下,一國貨幣供給的增加會因共同的貨幣替代原因導致兩國的貨幣跨國境的流動。貨幣替代使各國的貨幣政策之間產生高度的相關性,同時也減少了各國貨幣政策的獨立性和有效性。

