譜線增寬
正文
由於自身的物理性質或受到所處環境物理狀態的影響,使原子所發射或吸收的光譜線成為不是單一頻率的譜線的現象。某些情況下,譜線不僅增寬,還發生移位。由輻射原子自身物理性質產生的譜線增寬包括譜線的自然寬度和都卜勒增寬。前者起因於原子在所處的受激能級上有一定壽命;後者起因於輻射原子無規熱運動。
在天體、大氣及一切其他光源中,輻射原子處在原子氣體或電離氣體中,由於各種粒子(包括中性原子、離子和電子)之間始終存在著相互作用,使得輻射原子的發射光譜線出現了增寬和移位的現象。
自然寬度 譜線的自然寬度又稱為固有寬度以波長┱表示,其數量級為10-4┱。根據經典力學觀點,自然寬度是振子作阻尼振盪的結果;根據量子力學觀點,自然寬度是原子處在受激能級上有一定壽命的結果。
① 經典輻射理論中,輻射的基本單元是線性偶極子。輻射的能量損失源於原子振子的阻尼。一個頻率為vo的經典振子的能量E是隨時間t以指數規律衰減的,即
(1)
0
(2)
(3)
(4)
(5)
。 (6)
。 (7)
(8)
(9)
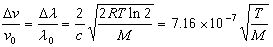
事實上,光源內有許多輻射原子,輻射原子的無規熱運動的都卜勒效應使得原子發射的譜線增寬。這種譜線增寬的現象叫做都卜勒增寬。
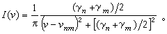
在熱動平衡狀態下,輻射原子集團的速度分布服從麥克斯韋分布(見麥克斯韋速度分布律)。如果認為原子在靜止時發射的譜線是單一頻率的,即忽略譜線的自然寬度和產生譜線增寬的其他因素時,在都卜勒增寬下的譜線強度隨頻率的分布由下式確定:
(10)
,с為真空中光速,M為元素的原子量,R為氣體的普適常數,T為絕對溫度。I(vo)為中心頻率vo處的強度。由都卜勒增寬引起的是高斯型譜線輪廓。都卜勒增寬的譜線寬度由下式給出:
。 (11)
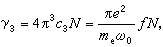
關於譜線壓致增寬,歷史上曾以兩種不同的觀點建立了兩種不同的理論,即碰撞理論和統計理論。碰撞理論的創始人是H.A.洛倫茲。他假設輻射振子受到干擾粒子碰撞時截斷了波列,在相繼兩次碰撞的時間內輻射振子不受干擾。由輻射原子和干擾粒子碰撞產生的譜線增寬稱為碰撞增寬。統計理論首先由J.霍爾茨馬克提出。他假設輻射原子始終處在干擾粒子場的作用下,這個作用場依賴於干擾粒子的空間統計分布。在空間統計分布的干擾粒子的作用下產生的譜線增寬稱為統計增寬。碰撞理論和統計理論是一般理論的兩個極端情況,前者描述了高溫、低密度、較輕粒子的突然干擾,後者描述了低溫、高密度、較重粒子的持續性干擾。
干擾粒子的擾動引起的輻射原子振動的角頻率的變化Δw與干擾粒子和輻射原子間的距離、干擾粒子的種類和相互作用的性質有關:
(12)
① 線性斯塔克增寬 (n=2)。氫原子或類氫離子在電漿中受到電子和離子的干擾,由於線性斯塔克效應產生的氫原子或類氫離子譜線的增寬稱為線性或一級斯塔克增寬。在理論處理中應該考慮離子的統計場作用和電子的碰撞作用。通過測量氫原子巴耳末Hβ譜線的斯塔克寬度,可確定恆星大氣或放電電漿中的電子密度,準確度可達10%。線性斯塔克增寬的譜線沒有移位。
② 共振增寬 (n=3)。同種原子干擾產生的譜線增寬稱為共振增寬。共振增寬的譜線寬度為
(13)
③ 二級斯塔克增寬 (n=4)。由於帶電粒子干擾產生的二級斯塔克效應所引起的輻射粒子的譜線的增寬稱為二級斯塔克增寬。這時,譜線不僅增寬,而且還有移位。譜線寬度γ4和移位Δ4分別為
(14)
(15)
寬度和移位的比值為
(16)
(17)
譜線增寬參考書目
H.R.Griem,Spectral Line Broadening by Plasmas,Academic Press, New York, 1974.
H.G.Kuhn,Atomic Spectra,Longmans, London, 1962.
R.G.Breene,Jr.,Line Width,Handbuch der Physik,Band 27, Spring-Verlag, Berlin, 1964.

