麥克斯韋速度分布律
正文
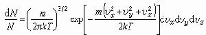
指平衡狀態下理想氣體分子速度分布的統計規律。1859年,J.C.麥克斯韋首先獲得氣體分子速度的分布規律,爾後,又為L.玻耳茲曼由碰撞理論嚴格導出。處於平衡狀態下的理想氣體分子以不同的速度運動,由於碰撞,每個分子的速度都不斷地改變,使分子具有各種速度。因為分子數目很大,分子速度的大小和方向是無規的,所以無法知道具有確定速度υ的分子數是多少,但可知道速度在υ1與υ2之間的分子數是多少。麥克斯韋首先得到,在平衡狀態下,當氣體分子間相互作用可以忽略時,分布在任一速率區間υ~υ+dυ內的分子數與總分子數的比率為

。由看出,速率很大和很小的分子所占的比率都很小。1920年O.斯特恩最先用原子束(分子束)實驗直接驗證了麥克斯韋速率分布律的正確性。
麥克斯韋速度分布律① 最可幾速率υm。定義為機率最大的速率。即在這速率下,分布函式f(υ)具有極大值。此時



。
1872年,玻耳茲曼創立了系統的氣體輸運理論,從研究非平衡態分布函式著手,建立了H定理(見統計物理學)。玻耳茲曼根據H定理證明,在達到平衡狀態時,氣體分子的速度分布趨於麥克斯韋分布。
