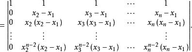
定義
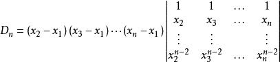
形如
范德蒙行列式的n階行列式稱為范德蒙行列式。
定理
范德蒙行列式
范德蒙行列式
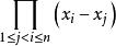
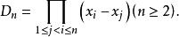
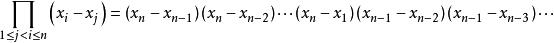
范德蒙行列式若 為 階范德蒙行列式,則有
范德蒙行列式
范德蒙行列式
范德蒙行列式
范德蒙行列式這裡 表示所有同類因子 (其中 )的乘積,即
范德蒙行列式
范德蒙行列式證明 用數學歸納法作證明。
范德蒙行列式
范德蒙行列式
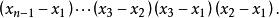
范德蒙行列式當 時, ,結論成立,假設該結論對 階范德蒙行列式成立,即
范德蒙行列式考慮n階范德蒙行列式的情形
范德蒙行列式
范德蒙行列式從第n行開始,自上而下依次的由下一行減去它上一行的倍 ,有
范德蒙行列式
范德蒙行列式按第一列展開後提取公因式,得
范德蒙行列式
范德蒙行列式於是有
范德蒙行列式相關計算
例1 計算行列式
范德蒙行列式注意到該行列式是一個第二行為1,2,3,4的四階范德蒙行列式,於是有
范德蒙行列式
