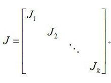
如果一個矩陣能夠寫成如下的形式,我們就稱其為約當標準型(Jordan normal form),記號為J。
在約當標準型對角線上的分塊矩陣Ji,稱為約當塊(Jordan block)。
約當塊的對角元素為矩陣的特徵值,對角線的上斜線元素全部為1。
約當塊
約當塊現代控制論
約當標準型可以用於判定線性定常連續系統是否狀態完全可控,狀態完全能觀。
設系統狀態方程為 X'=AX+BU Y=CX+DU
系統完全可控的判據是:
1、若矩陣A(系統矩陣)的特徵值是兩兩相異的,則可將A進行線性變換為 對角矩陣A1 。此時對應的B矩陣(輸入矩陣)變換為B1。若B1陣不包含元素全為0元素的行,則該系統一定是完全可控的。
系統完全能觀的判據是:
1、若矩陣A(系統矩陣)的特徵值是兩兩相異的,則可將A進行線性變換為 對角矩陣A1 。此時對應的C矩陣(輸出矩陣)變換為C1。若C1陣不包含元素全為0元素的列,則該系統一定是完全能觀的。

