物理簡介
黏性
viscosity
由於粘性的耗能作用,在無外界能量補充的情況下,運動的流體將逐漸停止下來。粘性對物體表面附近的流體運動產生重要作用使流速逐層減小並在物面上為零,在一定條件下也可使流體脫離物體表面(見邊界層)。
又稱黏性係數、動力粘度,記為μ。牛頓黏性定律指出,在純剪下流動中相鄰兩流體層之間的剪應力(或粘性摩擦應力)為式中dv/dy為垂直流動方向的法向速度梯度。黏度數值上等於單位速度梯度下流體所受的剪應力。速度梯度也表示流體運動中的角變形率,故黏度也表示剪應力與角變形率之間比值關係。
按國際單位制,黏度的單位為帕·秒。有時也用泊或厘泊(1泊=10-1帕·秒,1厘泊= 10-2泊)。英文表示式 Pa·s(帕·秒) 或 mPa·s(毫泊·秒)。
粘性的表征
A.粘性係數(粘度)的定義
粘性粘性的大小用粘性係數(即粘度)
來表示。牛頓粘性定律(見牛頓流體)指出,在純剪下流動中,流體兩層間的剪應力
可以表示為:
粘性,
粘性式中
為沿y方向(與流體速度方向垂直)的速度梯度,又稱剪下變形速率;
為比例常數,即粘性係數,它等於速度梯度為一個單位時,流體在單位面積上受到的切向力數值。
在通常採用的厘米·克·秒制中,粘性係數的單位是泊(Poise)。
國際單位制用帕·秒(1泊=1達因·秒/厘米=10帕·秒),它的量綱為MLT。對於多數流體,常用的單位是厘泊(10帕·秒)。
B.常見流體的粘性係數
不同流體有不同的粘性係數。少數液體(如甘油)的粘性係數可以達到15泊;橄欖油的粘性係數接近於1泊。在20℃時,水的粘性係數為1.0087厘泊。氣體的粘性係數從氬的2.1×10泊到氫的0.8×10泊,它們的數量級都是10泊。
C.粘性係數的計算
粘性粘性係數
顯著地依賴於溫度,但很少隨壓力發生變化,它與溫度的關係對於液體和氣體來說是截然不同的。對於液體來說,隨著溫度升高,粘性係數
下降;對於氣體而言,隨著溫度升高,粘性係數隨之上升。
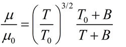
粘性對於氣體,粘性係數M和溫度T的關係可表為薩瑟蘭公式:
粘性式中B≈110.4開;
為參考溫度和參考粘性係數。此式在相當大的範圍內(T<2000開)對空氣是適用的。但由於上式較複雜,在實用上多採用冪次公式:
粘性來近似真實的粘性關係。冪次n的變化範圍是1/2≤n≤1,它依賴於氣體的性質和所考慮的溫度範圍。在高溫時,例如3000開以上,n可近似地取為1/2;在低溫時可取為1。對於空氣而言,在90開<300開的溫度範圍內,可採用公式:
粘性它與薩瑟蘭公式的誤差不過5%。
對水而言,粘性係數和溫度的關係可近似地寫成:
粘性(泊)。
粘性對於一般的流體運動,假設:①運動流體的應力張量在運動停止後應趨於靜止流體的應力張量;②偏應力張量
的各分量是局部速度梯度張量
各分量的線性齊次函式;③流體是各向同性的,由此可導出廣義牛頓粘性定律(見牛頓流體):
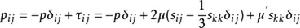
粘性
粘性式中,
、
分別為應力張量和變形速率張量;p壓力函式;
為克羅內克符號;
為粘性係數;
為第二粘性係數,亦稱膨脹粘性係數。對於不可壓縮流體,由於
,
自動不出現,廣義牛頓定律中只有一個粘性係數
。對於可壓縮流體,一般也和胡克彈性體(見胡克定律)一樣有兩個粘性
及
。是量度由於流體的膨脹或收縮引起的內耗功大小的粘性係數。除了高溫和高頻聲波這些極端情形外,對一般情形的氣體運動可近似地認為
。這個在分子運動論里得到證明的事實。當年只是斯托克斯提出的一個假設。
粘性的物理解釋
以氣體為例,說明粘性形成的原因。氣體分子的速度是由平均速度和熱運動速度兩部分疊加而成,前者是氣體團的巨觀速度,後者決定氣體的溫度。若相鄰兩部分氣體團以不同的巨觀速度運動,由於它們之間有許多分子相互交換,從而帶來動量的交換,使氣體團的速度有平均化的趨勢,這便是氣體粘性的由來。根據這種圖象,利用統計物理中的玻耳茲曼方可以求得氣體粘性係數的表達式:
粘性式中k為玻耳茲曼常數;m為分子質量;C為分子作用力的比例常數。以上公式說明,粘性係數與氣體密度無關,與溫度成正比。這兩條結論都得到了實驗證實。液體的分子運動論還未成熟,目前還沒有建立類似於氣體分子運動論的簡單物理圖像,用來說明產生液體粘性的機制。
係數測量
利用各種實驗方法可以確定不同溫度下流體的粘性係數。例如,在兩個半徑不同的同軸圓筒之間,充滿待測粘度的流體。當外筒鏇轉時,最貼近外筒壁的流體也能以相同的速度運動,由於粘性的作用,裡面的圓筒也隨之運動。由於裡面的圓筒懸掛在上端固定的金屬絲上,所以它在鏇轉到一定角度後就停止轉動。若測出金屬絲的扭轉角度,就可以算出扭力矩。因平衡時扭力矩與液體剪下力所形成的力矩相等,所以可求出剪下力和流體粘性係數的大小。另外一種方法是求出一定量體積的流體,在給定壓力作用下從一個細管中流盡所需的時間,從而求出其粘性係數。
單位計量
運動粘度表示液體在重力作用下流動時內摩擦力的量度,其值為相同溫度下的動力粘度與其密度之比,在國際單位制中以米2/秒表示。習慣用厘斯(cSt)為單位。1厘斯=10-6米2/秒=1毫米2/秒。
黏度
動態黏度
絕對黏度
黏度係數
流體內部抵抗流動的阻力,用對流體的剪下應力與剪下速率之比表示。單位為泊[帕。
註:對於牛頓流體,剪下應力與剪下速率之比為常數,稱為牛頓黏度,對於非牛頓流體,剪下應力與剪下速率之比隨剪下應力而變化,所得的粘度稱在相應剪下應力下的“表觀黏度”。塑膠屬於後一種情況。
計算公式
黏度是流體的一種屬性,不同流、體的粘度數值不同。同種流體的黏度顯著地與溫度有關,而與壓強幾乎無關。氣體的黏度隨溫度升高而增大,液體則減小。在溫度T<2000開時,氣體黏度可用薩特蘭公式計算:μ/μ0=(T/T0)3/2(T0+B)/(T+B),式中T0、μ0為參考溫度及相應粘度,B為與氣 體種類有關的常數,空氣的B=110.4開;或用冪次公式 :μ/μ0=(T/T0)n,指數n隨氣體種類和溫度而變,對於空氣,在90開
黏度是指液體受外力作用移動時,分子間產生的內摩擦力的量度。
由於液體的粘性將此力層層傳遞,各層液體也相應運動,形成一速度梯度du/dr,稱剪下速率,以r′表示。F/A稱為剪下應力,以τ表示。剪下速率與剪下應力間具有如下關係:
(F/A)=η(du/dr),
此比例係數η即被定義為液體的剪下粘度(另有拉伸粘度,剪下粘度平時使用較多,一般不加區別簡稱粘度時多指剪下粘度),故η=(F/A)/(du/dr)=τ/r′。
將兩塊面積為1㎡的板浸於液體中,兩板距離為1米,若在某一塊板上加1N的切應力,使兩板之間的相對速率為1m/s,則此液體的粘度為1Pa·s。
牛頓流體:符合牛頓公式的流體。 粘度只與溫度有關,與切變速率無關, τ與D為正比關係。非牛頓流體:不符合牛頓公式τ/D=f(D),以ηa表示一定(τ/D)下的粘度,稱表觀粘度。
粘度隨溫度的不同而有顯著變化,但通常隨壓力的不同發生的變化較小。液體粘度隨著溫度升高而減小,氣體粘度則隨溫度升高而增大。對於溶液,常用相對粘度μr表示溶液粘度μ和溶劑粘度μ之比,即:
相對粘度與濃度C的關係可表示為:
μr=1+【μ】C+K′【μ】C+…
式中【μ】為溶液的特性粘度,
K′為係數。【μ】、K′均與濃度無關。
不同流體的粘度差別很大。在壓強為101.325kPa、溫度為20℃的條件下,空氣、水和甘油的動力粘度和運動粘度為:
空氣μ=17.9×10^-6Pa·s,v=14.8×10^-6m²/s
水μ=1.01×10^-3Pa·s,v=1.01×10^-6m²/s
甘油μ=1.499Pa·s,v=1.19×10^-3m²/s
由於粘度的作用,使物體在流體中運動時受到摩擦阻力和壓差阻力,造成機械能的損耗(見流動阻力)。
各種流體的粘度數據,主要由實驗測得。常用的粘度計有毛細管式、落球式、錐板式、轉筒式等。在工業上有時用特定形式的粘度計來測定特定的條件粘度。如煉油工業中常用恩氏粘度(或恩格拉粘度)作為石油產品的一個指標,它表示某一溫度下200cm3油品與同體積20℃純水,從恩氏粘度計中流出所需時間之比。恩氏粘度與動力粘度的關係可按經驗公式換算。又如橡膠工業中常用門尼粘度為衡量橡膠平均分子量及可塑性的一個指標。
在缺少粘度實驗數據時,可按理論公式或經驗公式估算粘度。對於壓力不太高的氣體,估算結果較準;對於液體則較差。對非均相流體(如低濃度懸浮液)的粘度,可以用愛因斯坦公式估算:
式中μm為懸浮液的粘度;μ為連續相液體的粘度;φ為懸浮液中分散相的體積分數;μd為分散相粘度。當分散相為固體顆粒時,μd→∞,;當分散相為氣泡時,μd→0,μm=(1+φ)μ。
粘度是流體粘滯性的一種量度,是流體流動力對其內部摩擦現象的一種表示。粘度大表現內摩擦力大,分子量越大,碳氫結合越多,這種力量也越大。 粘度對各種潤滑油、質量鑑別和確定用途,及各種燃料用油的燃燒性能及用度等有決定意義。在同樣餾出溫度下,以烷烴為主要組份的石油產品粘度低,而粘溫性較好,即粘度指數較高,也就是粘度隨溫度變化而改變的幅度較小;含環烷烴(或芳烴)組份較多的油品粘度較高,即粘溫性較差;含膠質和芳烴較多油品粘度最高,粘溫性最差,即粘度指數最低。 粘度常用運動粘度表示,單位mm²/s。重質燃料油粘度大,經預熱使運動粘度達到18~20mm²/s(40℃),有利於噴油嘴均勻噴油。

