粘性流體流動
正文
實際流體巨觀運動的一種簡化模型,是動量傳遞的主要研究對象。這種模型把流體看成由流體微團組成的連續介質,可使用連續函式的數學工具予以描述。實際流體流動中通常都呈現粘性,粘性是分子熱運動和分子間力造成的動量傳遞的巨觀表現。因此,所謂粘性流體亦即實際流體,其粘性用粘度或表觀粘度來表征。實際流體的這種粘性作用一般僅限於壁面附近的流體層,稱為邊界層。邊界層理論是粘性流體流動的基本理論。作為一種假設,將無粘性的流體稱為理想流體。當粘性流體繞過物體表面流動時,通常把距離該物體表面相當遠處,無速度梯度的流體視為理想流體。流動類型 粘性流體的運動可按各種不同方法來分類。按流動與時間的關係來分,流動速度及有關物理量都不隨時間變化的流動稱為定態流動,反之稱為非定態流動。按流動與空間的關係來分,如流動速度及有關物理量只是一維空間的變數,這種流動稱為一維流動;如是兩維或三維空間的變數,則流動分別稱為二維流動或三維流動。當流體沿固體壁面流動時,按流體和壁面的相對關係,常將流動分為外部問題和內部問題。所謂外部問題,系指流體繞過置於無限流體中的物體,或者物體在無界流體中的運動,稱為繞流,如空氣繞過換熱管的流動或顆粒在氣流中的沉降;而內部問題,則指流體處於有限固體壁面所限制的空間內的流動,稱為管流,如各種管道內的流體流動。不受壁面限制的流動為自由流動。常指流體自小孔流出的射流,流體繞過物體後形成的尾流等。按流動的內在結構,流動分為層流和湍流。在這兩種狀態下,動量傳遞機理是互不相同的。湍流中的動量傳遞雖然包括分子動量傳遞,但主要為由流體微團的脈動運動所引起的渦流動量傳遞,層流中的動量傳遞則由分子運動所引起。這兩種狀態下的流動特性是有顯著差異的。按流動流體的相數,流動分為單相流和兩相流(或多相流)。化工中最常見的兩相流是分散在連續相液體中的液滴或氣泡,以及液膜與相鄰氣相所組成的兩相系統。
剪下應力與應變率的關係 粘性流體在流動過程中,如果所呈現的剪下應力與剪下應變率之間的關係,服從牛頓粘性定律,則稱為牛頓流體,如常見的空氣、水、大最低分子液體和氣體;否則,稱為非牛頓流體,如高分子溶液、熔融體、油漆和一些懸浮液等。(見聚合物流變學)
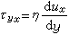
對於一維流動來說,1687年英國I.牛頓提出的牛頓粘性定律認為,剪下應力(即動量通量τyx與剪下應變率(即速度梯度)
呈線性關係,表示為:
(1)
對於三維剪下流動,牛頓粘性定律常表示為:
(2)
(3)
粘性流體流動中的剪下應力與剪下應變率的關係圖,稱為流動曲線(見圖)。牛頓流體的流動曲線是一條通過原點的直線;非牛頓粘性流體的流動曲線偏離這一直線。不同方式的偏離,反映出不同類型流體的特點(見表)。仿照牛頓粘性定律的形式,對非牛頓流體可以寫出:

粘性流體流動
粘性流體流動
