射流理論
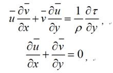
距射流源足夠遠處,湍性射流可以用邊界層理論進行分析。下面以不可壓縮流體的平面湍性射流(見圖)為例來說明,並設周圍流體處於靜止狀態。縱向平均速度ū(x,y)不等於零的射流區是以中心線為界的上下兩個“邊界層”的組合。圖中虛線是通常邊界層理論意義下的邊界。在整個射流區內壓力幾乎不變。因此,對於定常平面湍性射流,以下湍流邊界層方程組(見湍流理論)近似成立。
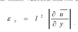
射流式中ū、vˉ為x、y方向的平均速度;ρ為流體密度;τ為湍流剪應力。為求解以上方程組,首先必須寫出湍流剪應力表達式。根據渦粘性假設
射流式中ετ為渦粘性係數,它是湍流的一個重要特徵參數。此係數可用L.普朗特提出的混合長l表示,即
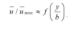
射流並假定混合長沿射流寬度保持不變,且l(x)~b(x),這裡b(x)為射流寬度的一半。為了簡化分析,進一步假定射流各橫截面上的速度分布具有相似性,即
射流根據以上方程和假定,H.賴夏特等對不可壓縮流體的平面湍性射流進行了完整的理論分析,求得與實驗相吻合的結果。其主要結果
①射流寬度同到射流源的距離成正比,即平面湍性射流的邊界是一條從射流源發出的直線,如果忽略雷諾數的影響,此射流大約以13°半角向後擴張;②射流速度分布為ū/ū=sech (y/b);③射流中心線上最大速度同到射流源的距離的平方根成反比,因此,隨著此距離增大,射流最大速度越來越小。
軸對稱湍性射流的分析方法同平面湍性射流類似。不同的是,基本方程必須採用軸對稱邊界層方程,而且在結果中ū~x-1,即射流中心線上最大速度比平面射流衰減得更快。
上面僅討論了不可壓縮流體的常壓自由射流。各種工程技術中遇到的射流要比這種射流複雜。因此,根據具體情況,還應當考慮射流的鏇轉效應和三維效應、有壓力梯度的約束射流、超聲速(有波系的)射流、溫度分布以及燃燒和相變,等等。此外,高速氣體射流會伴生相當強的氣動噪聲,也必須加以考慮。
--------------------------------------------------------------------------------
水射流或液體射流
分析
液體從噴管或孔口中噴出,脫離固體邊界的約束,在液體或氣體中作擴散流動,稱為射流。射流一般為紊流流型,具有紊動擴散作用,能進行動量、熱量和質量傳遞,套用於水力發電、消防水槍、農田噴灌、污染擴散、人工噴泉、水力採礦、土石方沖挖等。
不淹沒射流 流入氣體中的液體射流,稱為不淹沒射流。大氣中的水射流由於紊動摻氣,沿射流方向,依次分為緊密部分、破裂部分和分散部分(圖1)。
水豎直射流所能達到的高度He小於噴口的總水頭H,兩者之間的關係用下列公式表示
He=H/(1+ΨH);Ψ=0.00025/(b+1000b3)式中 b為噴口直徑。射流緊密部分高度Hd可按下式求出
Hd=βHe 。β根據試驗決定,隨He的增大而減少,當He在7~30米之間時,β約在0.84~0.72之間。
淹沒射流 流入相同介質中的液體射流,稱為淹沒射流。淹沒射流與周圍靜止介質發生動量和質量交換,卷吸附近介質隨射流一同流動,流量不斷增加,流速不斷減小和均化,橫斷面不斷擴大。淹沒射流可分為兩個部分。保持射流出口流速v0不變的部分,稱為射流核心。因卷吸與摻混作用流速小於v0的部分,即射流核心與靜止液體之間的部分,稱為射流邊界層。沿射流方向從出口斷面至射流核心開始消失的所謂過渡斷面,稱為射流初始段;過渡斷面以後的部分,稱為射流主體段。
主體段的性質
無限空間淹沒射流的主要研究對象是主體段,它有下列性質:
①幾何方面。射流呈直線擴散,射流出口附近存在著擴散中心o,稱為極點。圓斷面射流極點與出口斷面距離為1.2y0,y0為出口半徑(圖2)。
②運動方面。主體段中任意斷面上相對流速vx/vm在相對坐標y/x上的分布為不變,其中vx為斷面上坐標y1的x向分速。vm為同斷面的軸心x向分速。x1為斷面到極點的距離。圓斷面射流的相對速度公式為
③動力方面。射流空間壓強不變,各斷面動量、通量相等,由此可得圓斷面射流軸心流速公式為
--------------------------------------------------------------------------------
氣體射流
簡介
等密度氣體射流速度場示意圖氣體射流,也叫氣體紊動射流。
分析
流體射入靜止環境中時,它與周圍靜止流體之間存在速度不等的間斷面,間斷面一般受到不可避免的干擾,失去穩定而產生渦鏇,卷吸周圍流體進入射流,同時不斷移動、變形、分裂產生紊動,其影響逐漸向內外兩側發展形成自由紊動的混合層。由於動量的橫向傳遞,捲入的流體獲得動量而隨原射流向前流動,原來的流體動量減小而失去速度,形成一定的速度梯度。卷吸和摻混的結果,射流斷面不斷擴大,而流速則不斷降低,流量沿程增加。
圖2-1 等密度射流速度場
射流運動一般都要受初始動量的影響或受浮力的作用,純射流和卷流是射流的兩種極端情況。如果環境流體的密度是處處相同的,那么射流就是均勻環境射流。若環境流體密度沿鉛直分布是不均勻的,浮射流就是分層環境力射流。環境流體密度與泄漏的天然氣密度相等時的均勻環境射流過程,如圖2-1所示。直線OB、OC為射流的外部邊界,交點O為射流的極點在射流邊界上,前進的運動速度為零。射流向周圍環境空氣分子微團擴散的邊界AD、ED也是直線。在ADE區域內,純天然氣速度等於孔口泄漏速度,稱為射流核心區。射流外部邊界的夾角 稱為射流張角。射流核心區邊界的夾角 :為射流核心收縮角。經過D點的射流橫截面FG稱為過渡截面。在此截面以前,射流軸心速度Wm保持不變,並等於起始速度W0,而其後軸心速度逐漸減小。斷面平均速度W隨S增大而減小。過渡截面之前稱為起始段,其後稱為基本段。紊流自由射流的起始段長度S0及極點深度h0都與孔口半徑r有關。
當環境空氣的溫度和密度與泄漏的天然氣不同時,可看作非等密度射流。非等密度射流的軌跡比較複雜,這時重力差使射流彎曲。泄漏燃氣的密度大於環境空氣的密度,射流一般向下彎曲,反之則向上彎曲。如果射流垂直向上出,那么重力差只是稍微改變射流的張角及核心收縮角,並不使截面上速度分布失真,也不使射流彎曲,在這種情況下,如果泄漏的氣流密度大於周圍空氣的密度,則張角及收縮角增大,反之則角度減小。
天然氣發生管道孔口或裂縫泄漏時,雖然孔口或裂縫比較小,泄漏量也比較小,但泄漏速度極大,所以在孔口或裂縫形成紊流自由射流。根據燃氣泄漏的具體情況,假定受納流體在射流流入之前處於靜止狀態,天然氣泄漏過程可看成靜止環境中的射流;若受納流體所占的空間是無限的,天然氣泄漏過程可看成自由射流;若天然氣密度與受納流體密度不同,天然氣泄漏過程可以簡化為紊動變密度射流。在流體力學的研究和實際的計算過程中,若把流體看作不可壓縮流體,顯著地簡化了理論分析和數值計算,並在大多數問題的研究中具有足夠的精度。在低速氣流中(一般小於50m/s),當壓強變化不大時,通常可以忽略可壓縮性的影響,按不可壓縮流體處理,其結果也是有足夠精確的。
綜述
總之,根據影響射流運動規律的各種因素,又可將射流組合成許多類型。當天然氣通過管道孔口或裂縫泄漏到環境中去,可以進一步看成是無限靜止環境變密度射流。
參考文獻
詞條作者:晏名文《中國大百科全書》74卷(第一版)力學 詞條:流體力學 中國大百科全書出版社 ,1987 :418-419頁

