介紹
由於流動流體被固體邊界所包圍,常稱為流動的內部問題。管道常用於輸送流體,又是構成化工設備(如管殼式換熱器、列管式固定床反應器等)的基本部件;加之管道幾何形狀簡單,便於理論研究,所得結果還可為了解其他流動所借鑑。因此,研究管流在實踐上和理論上都是很重要的。
管流是管道中的流體運動。兩千多年前人類已能大規模利用管道系統供水。現代更普遍使用管道輸送各種液體、氣體和複雜的混合物。根據管中流體的流動狀態,管流可分為層性管流和湍性管流。
管流液體層性管流
當雷諾數小於2000時,等截面直圓管中的液體流動是層性管流(這裡ρ為液體密度;U為等截面上的平均速度;分別為液體的動力粘性係數和運動粘性係數;D為圓管內徑),流動呈層狀規則運動。
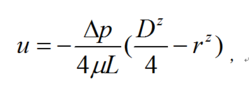
對於圓管中的液體層性管流,19世紀G.H.L.哈根和J.-L.-M.泊肅葉已從實驗歸納出流動規律,後來證實與精確解符合,故後人稱之為泊肅葉流動。圓管截面上隨(圖1)的速度分布為繞中心線的鏇轉拋物面,即
管流式中△p為管道長度L上的壓力降(或壓力損失)。因為壓力沿管道長度降低,△p為負,所以式中取負號。
流量Q以及壓力降△p的公式為
管流式中g為重力加速度。由流量公式可看出,在其他條件不變情況下,壓力降增大一倍,流量也增大一倍;反之亦然。
液體湍性管流
一般來說,當雷諾數達到2000~4000(臨界區)時,液體層性管流會變得不穩定,並開始向湍性管流過渡。當雷諾數大於4000時,一般工業管道內的液體流動為過渡流或完全湍流。這時流動的能量損失和壁面摩擦阻力加大。由於湍性管流有相當大的徑向動量交換,湍性管流的速度分布比層性管流均勻得多(圖1)。
液體湍性管流沒有嚴格的理論分析方法,工程技術中通常採用半經驗半理論公式和圖表計算壓頭損失(能量損失)或流量。
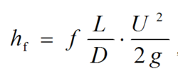
液體湍性管流的壓頭損失由達西-魏斯巴赫方程給出:
管流
管流式中為h壓頭損失(米);L為管道長度(米);D為管道內徑(米);U為平均速度(米/秒);g=9.81米/秒;f為摩擦係數(無量綱),它是雷諾數Re和管道內壁相對粗糙度的函式,即
,式中ε為管道內壁的絕對粗糙度(米);
,(v的單位為米/秒)。這些函式關係由以下經驗公式給出:
管流
管流由上式看出,在完全湍流情況下摩擦係數僅與粗糙度有關,而同雷諾數無關。
在層流區,
為了便於使用,L.F.穆迪將這些函式關係繪在一張以ε/D為參數,以f、Re為坐標軸的曲線圖(稱為穆迪圖,見圖2)上。 圖中湍性管流摩擦
係數f的下限為最下面的一條光滑管曲線,虛曲線為過渡區和完全湍流區的分界線。
上述經驗公式和穆迪圖適用於各種工業管道中的液體流動。新的工業管道內壁的有效粗糙度見上頁表。
套用時,如果給定管道流量求壓頭損失,可以按如下步驟進行計算。
首先通過水力試驗測定管道內壁的有效粗糙度,算出雷諾數,根據穆迪圖查出摩擦係數f,然後用
達西-魏斯巴赫方程算出壓頭損失。由於尚缺乏測量管道粗糙度的滿意方法,對粗糙
管流管的摩擦係數的知識也不完善,這樣的計算誤差約±10%。
管道截面的變化,閥門調節,管道方向變化和分支,都會引起壓頭的局部損失。但是,這些損失。但是,這些損失是次要的。工程計算中可將等效管道長度L加到實際管道長度中加以考慮。
實驗發現,可溶性高分子聚合物具有很強的減阻作用。例如,在純溶劑中加百萬分之幾(重量)的這種聚合物,可以使液體湍性管流的摩擦阻力降到純溶劑摩擦阻力的四分之一。一般來說,任何具有線形結構的高分子物質(其分子量大於50 000),都可使任何流體溶劑的湍流摩擦阻力降低。高分子減阻具有廣泛的套用前景。
氣體湍性管流
對於氣體(或蒸汽)湍性管流,如果壓力降較小,氣體密度變化可以忽略,其計算方法同液體湍性管流情形完全一樣。如果氣流的壓力降大於10%初始壓力,計算中則須考慮氣體的密度變化、速度變化、密度同壓力的狀態方程或其他熱力學關係式。
在等溫情形中,根據微分形式的達西-魏斯巴赫方程,可以導出如下壓力公式:
管流式中為P1初始絕對壓力(千克力/米,1千克力=9.8牛頓);P2為最終絕對壓力(千克力/米);Q為重量流量(千克力/秒);R為氣體常數;T為熱力學溫度(開);A為圓管橫截面積(米)。摩擦係數f仍根據雷諾數Re和管道內壁相對粗糙度ε/D從穆迪圖查出。在等溫情形中,雷諾數沿管道長度不變。絕熱條件下氣體湍性管流的壓力損失計算方法有所不同。
在實際技術問題中,經常遇到管道中的多相流動,即流動介質包括氣體、液體或固體中二相或二相以上的混合物。這些複雜管流主要依靠經驗公式進行計算。
套用
水力學中的管流
液體充滿管道內部的流動。設計管道或管系時必須進行管流的水力計算。管流的主要問題是確定流量和水頭,計算沿管線各斷面的壓強。
管流按液體速度的恆定性可分為:速度隨時間變化的非恆定管流和速度不隨時間變化的恆定管流;按管道局部損失能否忽略分為:沿程損失占絕對優勢、局部損失可以忽略不計的長管和局部損失占相當數量不能忽略不計的短管;按管道布置分為管徑及管道類型均不變化又無分支的簡單管道,以及由兩根以上管道組合成的複雜管道,如串聯、並聯管道、枝狀或環狀管網。水力計算,均以恆定流為基礎
園林設計中的管流
水從管狀物中流出稱為管流。這種人工水態主要構思於自然鄉野的村落,常有以挖空中心的竹稈,引山泉之水,常年不斷地流入缸中,以作為生活用水的形式。早在唐代詩人白居易的草堂記中亦曾描寫過管流:"……以剖竹架空,引崖上泉,脈分線懸,自檐柱砌,壘壘如貫珠,霏微如雨露,滴瀝飄灑,隨風遠去。"
近代園林中則以水泥管道,大者如糟,小者如管,組成豐富多樣的管流水景。返回自然已成為當前園林設計的一種思潮,因而在借用農村管流形式有同時,也將農村的水車形式引入園林,甚至在僅有1m多寬在櫥窗中也設計這種水體,極大地豐富了城市環境的水景。

