概念基礎——橢圓函式
簡介
橢圓函式也叫第一類橢圓函式,是第二、第三類橢圓函式的基本,雙周期亞純函式的統稱。在歷史上,橢圓函式是作為橢圓積分的反函式而引入的,故名。
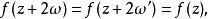
設2ω,2ω'為橢圓函式 f(z) 的兩個基本周期,且
第三類橢圓函式
第三類橢圓函式f(z) 在以任意一點 z 及 z+2ω,z+2ω+2ω',z+2ω' 為頂點的平行四邊形(稱為周期平行四邊形)內極點的個數(n階極點算作n個極點)稱為橢圓函式 f(z) 的階。
橢圓函式的性質
橢圓函式具有下列性質:
1、若 f(z) 為橢圓函式,則其任意階導數 f(z) 也是橢圓函式,基本周期不變;
2、橢圓函式的階有限;
3、劉維爾第一定理:零階橢圓函式必為常數;
4、劉維爾第二定理:橢圓函式在任一周期平行四邊形內各極點處留數之和必為0;
因此,橢圓函式在任一周期平行四邊形內不可能只有一個(一階)極點。換言之,不存在一階橢圓函式。
5、橢圓函式在任一周期平行四邊形內零點的個數(n階零點算作n個零點)等於它的階;
6、劉維爾第三定理:對於任一常數C,方程 f(z)=C 在周期平行四邊形內根的個數(n重根算作n個根)等於 f(z) 的階;
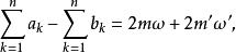
7、劉維爾第四定理:在一個周期平行四邊形內,橢圓函式零點a(k=1,2,…)之和與極點b(k=1,2,…)之和相差某一周期,即
第三類橢圓函式m,m'為整數。
最簡單的橢圓函式是二階橢圓函式。在這些函式中,或者把(在任一周期平行四邊形中)具有一個二階極點(留數為0)的函式選作標準函式(外爾斯特拉斯橢圓函式),或者把具有兩個一階極點(留數互相抵消)的函式選作標準函式(雅克比橢圓函式)。
第三類橢圓函式
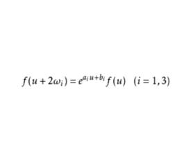
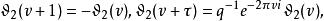
第三類橢圓函式(elliptic function of the third kind )是橢圓函式的進一步推廣。如果亞純函式 f(u) 滿足
第三類橢圓函式(ω 及 a,b 均為常數),則稱 f(u) 為第三類橢圓函式。外爾斯特拉斯σ函式就屬於第三類橢圓函式。
2ω及2ω仍稱為第三類橢圓函式的基本周期。
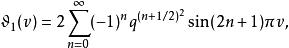
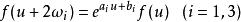
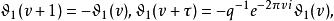
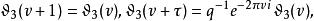
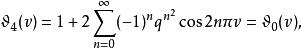
橢圓θ函式
第三類橢圓函式周期為 1 和 的第三類橢圓函式。定義為
第三類橢圓函式
第三類橢圓函式
第三類橢圓函式
第三類橢圓函式
第三類橢圓函式其中
第三類橢圓函式
第三類橢圓函式
第三類橢圓函式
第三類橢圓函式
第三類橢圓函式
第三類橢圓函式任何橢圓函式都可表示為幾個θ函式之商,有時還把 寫成以標明周期。
外爾斯特拉斯σ函式
一種第三類橢圓函式,定義為
第三類橢圓函式其中
第三類橢圓函式
第三類橢圓函式表示對一切整數m及m'求積,m=m'=0項除外。σ(u)具有擬周期性,即
第三類橢圓函式其中ω=-(ω+ω),η=ζ(ω),ζ(u)為外爾斯特拉斯ζ函式。

