基本檔案
物化性質
中文別名:P-[N,N-雙(beta-氯乙基)]-1-氧-3-氮-2-磷雜環己烷-P-氧化物
英文別名:2-(bis(2-chloroethyl)amino)-1,3,2-oxazaphosphorinane 2-oxide; 1-(bis(2-chloroethyl)amino)-1-oxo-2-aza-5-oxaphosphoridine; 2-(di(2-chloroethyl)amino)-1-oxa-3-aza-2-phosphacyclohexane 2-oxide; N,N-bis(2-chloroethyl)-1,3,2-oxazaphosphinan-2-amine 2-oxide hydrate (1:1)
CAS號:50-18-0
EINECS號:200-015-4
分子量:279.1012
InChI:InChI=1/C7H15Cl2N2O2P.H2O/c8-2-5-11(6-3-9)14(12)10-4-1-7-13-14;/h1-7H2,(H,10,12);1H2
熔點:41-45℃
沸點:336.1°C at 760 mmHg
閃點:157.1°C
蒸汽壓:0.000115mmHg at 25°C
溶解度:1-5 g/100 mL at 23°C
產品用途:廣譜抗腫瘤藥,用於治療白血病及其他腫瘤
別名
環磷氮芥、癌得散、癌得星、安道生、CPM
性狀
癌細胞白色結晶或結晶性粉末(失去結晶水即液化),在室溫中穩定。溶於水,但溶解度不大。水溶液不穩定,故應在溶解後短期內使用。易溶於乙醇。
安全術語
S22Do not breathe dust.
切勿吸入粉塵。
S24/25Avoid contact with skin and eyes.
避免與皮膚和眼睛接觸。
用途
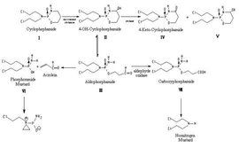
該品為最常用的烷化劑類抗腫瘤藥,進入體內後,在肝微粒體酶催化下分解釋出烷化作用很強的氯乙基磷醯胺(或稱磷醯胺氮芥),而對腫瘤細胞產生細胞毒作用,此外本品還具有顯著免疫抑制作用。
臨床用於惡性淋巴瘤,多發性骨髓瘤,白血病、乳腺癌、卵巢癌、宮頸癌、前列腺癌、結腸癌、支氣管癌、肺癌等,有一定療效。也可用於類風濕關節炎、兒童腎病綜合徵以及自身免疫疾病的治療。
藥物分析
方法名稱: 環磷醯胺原料藥-高效液相色譜法
套用範圍: 本方法採用高效液相色譜法測定環磷醯胺原料藥中環磷醯胺的含量。
方法原理: 供試品加入內標溶液後經流動相定量稀釋,進入高效液相色譜儀進行色譜分離,用紫外吸收檢測器,于波長195nm處檢測環磷醯胺的峰面積,計算出其含量。
試劑: 1. 乙腈
2. 乙醇
3. 對羥基苯甲酸乙酯
儀器設備: 1.儀器
1.1 高效液相色譜儀
1.2 色譜柱
十八烷基矽烷鍵合矽膠為填充劑,理論塔板數按環磷醯胺峰計算應不低於2000。
1.3 紫外吸收檢測器
2.色譜條件
2.1 流動相:乙腈 水=36 65
2.2 檢測波長:195nm
2.3 柱溫:室溫
試樣製備: 1.內標溶液的製備
精密稱取對羥基苯甲酸乙酯36mg,置200mL量瓶中,加乙醇2mL使溶解,用流動相稀釋至刻度,搖勻,即為內標溶液。
2.對照品溶液的製備
精密稱取環磷醯胺對照品約25mg,置50mL量瓶中,加內標溶液5mL,用流動相稀釋至刻度,搖勻,即為對照品溶液。
3.供試品溶液的製備
精密稱取供試品約25mg,置50mL量瓶中,加內標溶液5mL,用流動相稀釋至刻度,搖勻,即為供試品溶液。
註:“精密稱取”系指稱取重量應準確至所稱取重量的千分之一。“精密量取”系指量取體積的準確度應符合國家標準中對該體積移液管的精度要求。
操作步驟: 分別精密吸取對照品溶液和供試品溶液各20mL,注入高效液相色譜儀,用紫外吸收檢測器于波長195nm處測定環磷醯胺(C7H15Cl2N2O2P)的峰面積,計算出其含量。
劑量與用法
孕婦口服,抗癌用,0.1g~0.2g/日,療程量10g~15g。抑制免疫用,50mg~150mg/日,分2次服,連用4~6周。靜注,4mg/kg,1次/日,可用到總劑量8g~10g。提倡中等劑量間歇給藥,0.6g~1g/次,每5~7日1次,療程和用量同上,亦可1次大劑量給予20mg~40mg/kg,間隔3~4周再用。
副作用
1 骨髓抑制,主要為白細胞減少。
2 泌尿道症狀主要來自化學性膀胱炎,如尿頻、尿急、膀胱尿感強烈、血尿,甚至排尿困難。應多飲水,增加尿量以減輕症狀。
3 消化系統症狀有噁心、嘔吐及厭食,靜注或口服均可發生,靜注大量後3~4小時即可出現。
4 常見的皮膚症狀有脫髮,但停藥後可再生細小新發。
5 長期套用,男性可致睪丸萎縮及精子缺乏;婦女可致閉經、卵巢纖維化或致畸胎。孕婦慎用。
6 偶可影響肝功能,出現黃疸及凝血酶原減少。肝功能不良者慎用。
藥物相互作用
環磷醯胺可使血清中假膽鹼酯酶減少,使血清尿酸水平增高,因此,與抗痛風藥如別嘌呤醇、秋水仙鹼、丙磺舒等同用時,應調整抗痛風藥物的劑量。此外也加強了琥珀膽鹼的神經肌肉阻滯作用,可使呼吸暫停延長。環磷醯胺可抑制膽鹼酯酶活性,因而延長古柯鹼的作用並增加毒性。大劑量巴比妥類、皮質激素類藥物可影響環磷醯胺的代謝,同時套用可增加環磷醯胺的急性毒性。
不良反應
環磷醯胺相關藥物(1)骨髓抑制為最常見的毒性,白細胞往往在給藥後10一14天最低,多在第21天恢復正常,血小板減少比其他烷化劑少見;常見的副反應還有噁心、嘔吐。嚴重程度與劑量有關。
(2)環磷醯胺的代謝產物可產生嚴重的出血性膀胱炎、大量補充液體可避免。本品也可致膀胱纖維化。
(3)當大劑量環磷醯胺(按體重50mg/kg)與大量液體同時給予時,可產生水中毒,可同時給予呋塞米以防止。
(4)常規劑量的環磷醯胺不產生心臟毒性,但當高劑量時可產生心肌壞死,偶有發生肺纖維化。
(5)環磷醯胺可引起生殖系統毒性,如停經或精子缺乏,妊娠初期時給予可致畸胎。
(6)長期給予環磷醯胺可產生繼發性腫瘤。
(7)環磷醯胺可產生中等至嚴重的免疫抑制。
(8)用於白血病或淋巴瘤治療時,易發生高尿酸血症及尿酸性腎病。
(9)少見的副作用有發熱、過敏、皮膚及指甲色素沉著、黏膜潰瘍、肝功能丙氨酸氨基轉移酶升高、蕁麻疹、口咽部感覺異常或視力模糊。食欲不振,噁心,脫髮,骨髓抑制,白細胞及血小板減少,引起肝損害,大劑量可引起膀胱刺激症狀或膀胱炎,血尿,蛋白尿,嘔吐.個別有頭暈,幻覺,不安等。
常見的不良反應為胃腸不能耐受、骨髓受抑制、脫髮及無菌性膀胱炎,但許多組織及器官都能受影響。套用此藥治療惡性病如多發性骨髓瘤、慢性淋巴性白血病、卵巢癌,可引起急性白血病。用它治療非惡性病時如類風濕性關節炎,可發生膀胱癌。套用大劑量的患者可發生心肌壞死、急性心肌炎,並可致心衰,甚至死亡。套用此藥治療不常見有肺纖維化,罕見有肝損害伴肝酶暫時升高。此藥可引起口炎;可致睪丸損害並伴有不育症,並與劑量有關;也可引起卵巢功能紊亂,也與劑量及年齡有關。有報告護士處理此藥時可發生過敏反應。
心血管系統:此藥可引起心肌病、局灶性穿壁性心肌出血及冠狀動脈炎。大劑量,120~240mg/kg可致出血性心肌壞死,並在最後一劑的2周后可發生心衰。此藥對毛根有毒性作用,常見有瀰漫性脫髮。
肝臟毒性:本品可劑量依賴性的引起肝損傷,這可能是由於環磷醯胺的主要代謝物丙烯醛(acrolein)的肝臟毒性作用,引起肝細胞壞死,肝小葉中心充血,並伴隨氨基轉移酶升高。
消化系統:最常見的不良反應是噁心、嘔吐,發生率大約為60%~90%,這也是病人不能耐受的主要原因。雖然5-HT阻斷劑胃復安可以減輕這一不良反應,但應密切注視隨之而來的神經抑制作用。
泌尿系統和腎毒性:本品可以引起腎出血、膀胱纖維化及出血性膀胱炎、腎盂積水、膀胱尿道返流、甚至繼發腎癌,但與其他烷化劑抗癌藥相比,本品的腎毒性相對較低。
皮膚、黏膜:不論是單獨使用或與其他藥物合併使用,本品均影響毛囊細胞的分裂,對頭髮、毛囊均有明顯毒性。用藥後引起脫髮的程度是劑量相關的,停藥後可逐漸長出新發。由於本品可以抑制口腔黏膜的快速增殖,引起口腔炎,也可引起藥物性皮炎,與其他藥物合併使用,也偶見指甲脫落和色素沉著。
生殖毒性:本品對生殖系統有較明顯的毒性,引起男子精子缺乏,降低睪丸間質細胞功能,女子卵巢損傷。
禁忌
(1)孕婦用藥須慎重考慮,特別在妊娠初期的三個月,由於環磷醯胺有致突變或致畸胎作用,可造成胎兒死亡或先天性畸形。本品可在乳汁中排出,在開始用環磷醯胺治療時必須中止哺乳。
(2)下列情況應慎用:骨髓抑制:有痛風病史、肝功能損害、感染、腎功能損害、腫瘤細胞浸潤骨髓、有泌尿繫結石史、以前曾接受過化療或放射治療。肝病患者慎用。
本品不論對人體或是動物均有明顯的致畸、致突變作用,特別是在妊娠胚胎的分裂相和器官的發生相造成胚胎吸收,發育遲緩,畸形如肢端異常,齶裂等等,但對妊娠的毒性可能不是終生的。
注意
骨髓抑制(最低值1~2周,一般維持7~10天,3~5周恢復)、脫髮、消化道反應、口腔炎、膀胱炎,個別報告有肺炎、過量的抗利尿激素(ADH)分泌等。一般劑量對血小板影響不大,也很少引起貧血。此外,環磷醯胺可殺傷精子,但為可逆性。超高劑量時(>120mg/kg)可引起心肌損傷及腎毒性。
肝腎功能異常時可使CTX毒性加強,藥酶誘導劑如巴比妥類、皮質激素,及肝藥酶抑制劑如別嘌呤醇、氯黴素等對本品的代謝、活性和毒性均有影響,並用時應注意。本品的代謝物對尿路有刺激,故套用時應鼓勵病人多飲茶水。
製劑與貯法
【製劑】注射用環磷醯胺:100mg;200mg。片劑:每片50mg。
【貯法】應避免高熱(32℃以下)及日光照射。
抗腫瘤藥物
| 抗腫瘤藥有化療藥物、生物製劑。這些藥物通過不同的功能來抑制或破壞腫瘤細胞。 |

