異苷類植物分布
異苷類的分布廣泛,是普遍存在的天然產物,由於苷元的結構類型不同,各種結構類型的異苷類在植物中的分布情況亦不一樣。如黃酮苷在近200個科的植物中都有分布;強心苷主要分布於玄參科、夾竹桃科等10多個科。對多數中草藥,根及根莖往往是苷類分布的一個重要部位。
生物活性
異苷類化合物多具有廣泛的生物活性,如天麻苷是天麻安神鎮靜的主要活性成分;三七皂苷是三七活血化瘀的活性成分;強心苷有強心作用;黃酮苷有抗菌、止咳、平喘、擴張冠狀動脈血管等等作用。
化學結構
異苷類—苷鍵 2、苷原子:苷元上形成苷鍵以連線糖的原子,稱為苷鍵原子,也稱為苷原子。苷鍵原子通常是氧原子,也有硫原子、氮原子;少數情況下,苷元碳原子上的氫與糖的半縮醛羥基縮合,形成碳-碳直接相連的苷鍵。
3、苷的構型:由於單糖有α及β二種端基異構體,因此在形成異苷類時就有二種構型的苷,即α-苷和β-苷。在天然的苷類中,由D-型糖衍生而成的苷多為β-苷,而由L-型糖衍生而成的苷多為α-苷。
4、成苷的常見糖:主要是單糖,廠為D-葡萄糖、L-阿拉伯糖、D-木糖、L-鼠李糖、D-甘露糖、D-半乳糖、D-果糖、D-葡萄糖醛酸以及D-半乳糖醛酸等,也有去氧糖等其他糖。
分類
1.按苷鍵原子分類
根據苷鍵原子的不同,異苷類可以分為氧苷、硫苷、氮苷和碳苷。
(1)氧苷 苷元通過氧原子和糖相連線而成的苷稱為氧苷。氧苷是數量最多、最常見的異苷類。根據形成苷鍵的苷元羥基類型不同,又分為醇苷、酚苷、酯苷和氰苷等,其中以醇苷和酚苷居多,酯苷較少見。
異苷類-酚苷
異苷類-醇苷 ① 醇苷 是苷元的醇羥基與糖縮合而成的苷。毛茛苷。
② 酚苷 苷元分子中的酚性羥基與糖脫水而成的苷。如:熊果苷、天麻苷、丹皮苷。紅景天苷
③ 酯苷 苷元中羧基與糖縮合而成的苷,其苷鍵既有縮醛性質又有酯的性質,易為稀酸和稀鹼所水解。如山慈菇苷A和B(是山慈菇中抗黴菌的活性成分)被水解後,苷元立即環合生成山慈菇內酯A和B。 R=H山慈菇苷AR=H 山慈菇內酯 A R=OH山慈菇苷 BR=OH 山慈菇內酯 B
④ 吲哚苷 靛苷,苷元為吲哚醇。
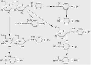
異苷類-氰苷 在酸鹼或酶的作用下,苦杏仁苷依不同的條件生成不同的分解產物。
(2)硫苷
糖的半縮醛羥基與苷元上巰基縮合而成的苷稱為硫苷。
異苷類-氮苷 糖上的端基碳與苷元上氮原子相連線而成的苷稱為氮苷。氮苷在生物化學領域中是十分重要的物質,腺苷、鳥苷、胞苷、尿苷、等是核酸的重要組成部分。另外,中藥巴豆中的巴豆苷(crotonside),其化學結構與腺苷相似。
(4)碳苷 碳苷是一類糖基的端基碳原子直接與苷元碳原子相連 接而成的苷類化合物。組成碳苷的苷元多為黃酮
異苷類-蘆薈苷 2.其它分類方法
(1)按苷元的化學結構類型:分為香豆素苷、蒽醌苷、黃酮苷、吲哚苷等。
(2)按苷類在植物體內的存在狀況:分為原生苷(primary glycosides原存在於植物體內),苷,稱為次生苷(secondary glycosides原生苷水解失去一部分糖後生成的)。如苦杏仁苷是原生苷,野櫻苷是次生苷。
(3)按苷的生理作用分類:強心苷。
(4)按苷的特殊物理性質分類:皂苷。
(5)按糖的種類或名稱分類:葡萄糖苷、木糖苷、去氧糖苷等。
(6)按苷分子所含單糖的數目分類,可分為單糖苷、雙糖苷、三糖苷等。
(7)按苷分子中的糖鏈數目分類,可分為單糖鏈苷、雙糖鏈苷等。
(8)按其植物來源分類,例如人參皂苷、柴胡皂苷等。
物理性質
1、異苷類均為固體,無定形粉末狀物或結晶,
2、多具有吸濕性。
3、刺激性:有些苷類對黏膜具有刺激作用,如皂苷、強心苷等。
4、苷類具有鏇光性,多數苷呈左鏇。苷類水解後由於生成的糖是右鏇的,因而使混合物呈右鏇。
5、溶解性:
(1)苷:在中藥各類化學成分中,異苷類屬於極性較大的物質,在甲醇、乙醇、含水正丁醇等極性大的有機溶劑中有較大的溶解度,一般也能溶於水。苷的糖基增多,極性增大,親水性增強,在水中的溶解度也就增加。在用不同極性的溶劑順次提取中藥時,除了揮髮油部分、石油醚部分等非極性部分外,在極性小、中等極性、極性大的提取部分中都存在苷類的可能,但主要存在於極性大的部位。碳苷的溶解性較為特殊,和一般苷類不同,無論是在水還是在其它溶劑中,碳苷的溶解度一般都較小。
(2)苷元:易溶於親脂性有機溶劑或不同濃度的醇。
化學性質
1、苷鍵的裂解苷鍵具有縮醛結構,在稀酸或酶的作用下,苷鍵可發生斷裂,水解成為苷元和糖。通過苷鍵的裂解反應將有助於了解苷元的結構、糖的種類和組成,確定苷元與糖、糖與糖之間的連線方式。苷鍵裂解的方法主要有酸水解、酶水解、鹼水解和氧化開裂等。
(1)酸催化水解
苷鍵易被稀酸催化水解,反應一般在水或稀醇中進行,所用的酸有鹽酸、硫酸、乙酸和甲酸等。苷發生酸催化水解反應的機理是:苷鍵原子首先發生質子化,然後苷鍵斷裂生成苷元和糖的陽碳離子中間體,在水中陽碳離子經溶劑化,再脫去氫離子而形成糖分子。下面以氧苷中的葡萄糖苷為例,說明其反應歷程。從下面反應機理可以看
異苷類-酸催化水解苷類酸水解的難易有以下規律:
①按苷原子的不同:N-苷﹥O-苷﹥S-苷﹥C-苷
②呋喃糖苷﹥吡喃糖苷③酮糖苷﹥醛糖苷
④吡喃糖苷:五碳糖苷>甲基五碳糖苷>六碳糖苷>七碳糖苷>糖醛酸苷
⑤2-氨基糖苷<2-羥基糖苷<3-去氧糖苷<2-去氧糖苷<2、3-去氧糖苷
(2)鹼催化水解
由於一般的苷鍵屬縮醛結構,對稀鹼較穩定,不易被鹼催化水解,故苷很少用鹼催化水解,但酯苷、酚苷、烯醇苷和β位吸電子基團的苷類易為鹼催化水解。
(3)酶催化水解對難以水解或不穩定的苷,套用酸水解法往往會使苷元脫水、異構化等反應,而得不到真正的苷元,而酶水解條件溫和(30~40℃),不會破壞苷元的結構,可得到真正的苷元。酶具有高度專屬性,α-苷酶一般只能水解α-苷,β-苷酶一般只能水解β-苷,例如麥芽糖酶(maltase)是一種α-苷酶,它只能使α-葡萄糖苷水解;苦杏仁酶(emulsin)是β-苷酶,它主要水解β-葡萄糖,但專屬性較差,也能水解一些其它六碳糖的β-苷鍵。由於酶的專屬性,苷類水解還產生部分水解的次生苷。因此,通過酶水解可以獲知有關糖的類型、苷鍵及糖苷鍵的構型、連線方式等信息。 芳香族苷﹥脂肪族苷
(4)乙醯解反應
在多糖苷的結構研究中,為了確定糖與糖之間的連線位置,常套用乙醯解開裂一部分苷鍵,保留另一部分苷鍵,然後用薄層或氣相色譜鑑定在水解產物中得到的乙醯化單糖和乙醯化低聚糖。反套用的試劑為乙酸酐與不同酸的混合液,常用的酸有硫酸、高氯酸或Lewis酸(如氯化鋅、三氟化硼等)。
①乙醯解反應的操作較為簡單,一般可將苷溶於乙酐與冰乙酸的混合液中,加入3%~5%量的濃硫酸,在室溫下放置1~10天,將反應液倒入冰水中,並以碳酸氫鈉中和至pH3~4,再用氯仿萃取其中的乙醯化糖,然後通過柱色譜分離,就可獲得不同的乙醯化單糖或乙醯化低聚糖,再用TLC對它們進行鑑定。
②苷發生乙醯解反應的速度與糖苷鍵的位置有關。如果在苷鍵的鄰位有可乙醯化的羥基,則由於電負性,可使乙醯解的速度減慢。從二糖的乙醯解速率可以看出,苷鍵的乙醯解一般以1→6苷鍵最易斷裂,其次為1→4苷鍵和1→3苷鍵,而以1→2苷鍵最難開裂。
(5)氧化開裂反應
異苷類-氧化開裂反應
異苷類-顯色反應研究概況
二十世紀八十年代,對植物中糖苷類香料前驅體的研究日益加深,已發現糖苷在葡萄、非洲芒果、西紅柿、杏、桃、黃梅、鳳梨、香蕉、茶葉、胡 椒等植物中是重要揮發性芳香化合物的前驅體。目前大約有50 屬的170 種植物中存在的糖苷類化合 物已被檢出 。 研究發現茶葉中糖苷化合物對茶葉的色、香、味有重要影響。重要的糖苷化合物主要有脂肪醇糖苷、芳香醇糖苷、肌醇糖苷、酚化苷、萜烯醇苷、茶皂苷等。 Takyo (1981)首次證實了茶葉中存在糖苷類香氣前體。 Yano M. 等(1991)從茶葉中分離、鑑定出苯甲醇,在鮮葉中的存在形式為苯甲醇2β2D2吡喃葡萄 糖苷。Guo W. 等(1993)證實香葉醇以香葉醇苷,即香葉基262O2β2D2吡喃木糖2β2D2吡喃葡萄糖苷形式存在於茶葉中,芳樟醇是以芳樟基2β2櫻草糖苷形式存在於茶葉中。Kobayashi A. 等(1996)又從茶葉中分離,鑑定出順232己烯醇、香葉醇、芳樟醇、苯甲醇、22苯 乙醇、水楊酸甲酯、芳樟醇氧化物I、II 及IV 的單糖苷和雙糖苷形式的香氣前驅體.Sachiko Matsumura(1997) 設計了兩條合成路線,合成了茶葉中發現的兩種糖苷2櫻草苷和巢菜糖 苷。並且評價了用茶提取的粗酶水解所合成糖苷的水解速度,就涉及催化釋放鍵合態香氣組分的有關酶類進行了深入研究,指出主要的糖苷酶是櫻草苷酶,而且酶的混合物對糖及配糖體顯示了底物的特異 性.Seung2J in Ma (2001)研究了茶葉中的二糖糖苷類芳香前體分離、立體化學結構鑑定以及化學合成。
研發趨勢
研究證實,在很多植物中,其香氣成分的鍵合態含量遠高於游離態含量,這預示著它們具有極大的 釋放香氣潛力。異苷類化合物的水解途徑、影響因子及調控措施等方面的深入研究也越來越得到重視
1 新的風味物質鑑定
通過研究風味物質的形成途徑,有利於剖析香氣的呈香機理,鑑定並發現新的風味物質。這一領域的研究,從最初的對加工工藝進行有效調控到如今建立在分子水平上的香氣前體的水解機理的研究,對確定食品的風味具有非常重要的意義。
2 有效提高香精油的產量
異苷類香氣前體是香料植物潛在的香氣源,除了酶水解外,糖苷還可以通過酸、加熱、紫外輻射、光照等方式分解出糖苷配基。對其釋香機理的研究,可以發現其巨大的釋香潛力,通過研究芳香植物的生長 過程中風味前體物質含量的變化,從中總結其不同時期含量變化規律,選擇其含量的最佳時期,進行香精油的提取,以得到最高產量,獲取最大經濟效益。
3 風味增強劑的開發
異苷類可以水解水果中的糖苷類風味物質,釋放出其中的糖苷配基。因此,篩選適宜的酶和研究酶作用 的最適宜條件,可以開發出針對不同產品,如果汁、飲料、酒類等的風味增強劑,通過促進風味前體的 分解使其產生濃郁的香氣,並呈現特定的風味。並根據水果種類及產地不同,酶的來源不同,從而產生 不同的增香效果。
工業化套用前景
1 、天然性
隨著生物提取加工技術以及檢測手段的不斷完善,越來越多的香料成分被剖析,天然香料的開發在品種 上已經越來越困難。對糖苷類香料前體的研究,並作為天然香料產品套用到食品加工中,將可能為新品 種的開發提供一片新的天地。
2 穩定性
在焙烤食品等加工中,由於高溫條件下香精揮發,香氣喪失或變化,嚴重影響加香效果。如果糖苷能耐 高溫又能熱解釋放出香氣物質,將會使得糖苷成為一種穩定的、適宜的香料產品。對於它的熱穩定性 、降解機理的深入研究,以及探討此類熱穩定型香料前體在焙烤食品中的套用將具有深遠的意義。
3 經濟意義
糖苷的分解有多種方式:酶法、化學法、加熱、輻射、光照等都能促進分解釋放出糖苷配基 。非揮發性的糖苷前體通過酶或化學的途徑在植物成熟、工業處理或加工過程中釋放出揮發性香氣, 對香氣的形成起著重要作用。以往大量研究證明,植物中的鍵合態香料前體具有比游離態更重要的意 義及潛在的開發價值。
異苷類的研究在精細化工和醫藥領域已經受到相當重視,並已為人類社會創造巨大經濟效益。
