藥品簡介
甲泛葡胺中文別名:甲泛影醯胺、室椎影、室椎影
產品名稱:甲泛葡胺
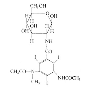
別名:2-[3-Acetamido-5-(N-methylacetamido)-2,4,6-triiodobenzamido]-2-deoxy-D-glucose
分子式:C18H22I3N3O8
分子量:789.10
藥理作用
本品為有機碘化合物,進入體內後能比周圍組織結構吸收較多量X線,從而在X線圖像上形成密度對比,顯示出所在管腔的輪廓及其內含結構的形態。
動力學
複方金剛烷胺氨基比林片用法用量
1.椎管內蛛網膜下腔造影
①腰段:腰椎穿刺注入,使用每1ml中含碘170~190mg的溶液。成人10—15ml;小兒2個月以下2—3ml,2個月—2歲2—4ml,3—7歲4—8ml,8—12歲7—9ml,13—18歲8—10ml。
②胸段:腰椎穿刺注入,成人12ml(每1ml含碘200—220mg);小兒使用每1ml含碘,170~190mg的溶液,用量同腰段造影。
③頸段:腰椎穿刺注入,成人10ml(每1ml含碘250—300mg);小兒2個月以下2—3ml,2個月—2歲2—4ml,3-7歲4—8ml(每1ml含碘170-210mg,8-12歲7—9ml,13-18歲8-10ml)每1ml含碘170—230mg。經頸1/2
腦血管2.腦池造影經腰椎穿刺注入,使用每1ml中含碘170-190mg的溶液,小兒2個月-2歲2—3ml,3—7歲3—5ml,8歲-12歲5-6ml。
3.CT腦池掃描增強經腰椎穿刺注入,使用每1ml中含碘170-190mg的溶液,成人4—6ml;小兒3歲以下酌情選用,3-18歲3-5ml。
4.腦室造影經腰椎穿刺注入,2歲以下兒童2—3ml(每1ml中含碘170—220mg)。直接穿刺注入,2歲以下2—3ml,3-12歲2—4ml(每1ml中含碘170—220mg),13歲-18歲2—5ml(每1ml中含碘190—220mg)。
5.CT腦室掃描增強經腰椎穿刺注入,使用每1ml中含碘170—220mg的溶液,3—7歲3m1。直接穿刺注入,2歲以下2ml,3—7歲3ml。
6.心血管造影小兒按體重1.5ml/kg(每1m1中含碘370mg)。
7.冠狀動脈造影成人一次6—8ml(每1ml中含碘370mg)。
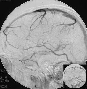
8.腦血管造影成人一次5-10ml(每1ml中含碘300mg)。
(1)本品給藥濃度以每1ml內含碘量表示。
(2)檢查室內須備有急救用的藥品和器材。在給藥時和給藥後數
冠狀動脈(3)在注射本品前宜口服或靜脈補充液體。鞘內給藥的各種造影應在給藥前2小時內禁食,但可飲水。
(4)有癲癇史而未用抗癲癇治療者,在造影前可給予巴比妥類或苯妥英鈉預防發作,治療者應繼續用藥。
(5)本品注入蛛網膜下腔後濃度迅速下降,造影操作必須熟練、迅速而穩妥,超過30分鐘攝片將因造影劑濃度過低而不能滿足臨床診斷要求。
(6)胸段以上椎管內蛛網膜下腔造影應在電視透視監視下注藥,並調整體位,以控制造影劑流向和充盈平面,並儘量避免造影劑流入顱內。
(7)蛛網膜下腔造影后應取坐位數分鐘,使造影劑沉降在腰骶段,以後保持頭高足低位臥床6小時,並靜臥休息24小時。術後12小時內應嚴密觀察。對疑有高濃度藥液進入顱內者或超限量套用後可給予苯巴比妥或地西泮(安定)預防癲癇。
不良反應
1.本品對血腦屏障和神經組織的損害較小,腦脊膜刺激輕微;對紅細胞形態的影響較小,有輕度抗凝血作用,幾乎不引起血鈣濃度下降,但可抑制紅細胞沉降;對心血管系統具有與泛影酸相似作用,但程度明顯減輕;對心肌細胞的抑制、心臟傳導系統的影響、以及血管內皮細胞的損害均較小。由造影劑高滲透壓所帶來的血流動力學影響也較離子型造影劑輕。本品濃度每1ml含碘170mg時與腦脊液和血漿等滲。
蛛網膜下腔注藥2.本品經蛛網膜下腔注射(鞘內給藥)後可引起下列反應。
①較常發生的反應有:頭痛,在注藥後3—8小時出現,持續數小時到2天,脫水狀態下較易發生嚴重頭痛,常伴噁心、嘔吐。噁心、嘔吐在注藥後3—8小時出現,持續數小時到1天,少數病例嘔吐頻繁,並可持續2—3天,需要對症處理,但套用吩噻嗪類止吐藥可能誘發癲癇發作。
②較少發生的反應有:發熱(一般輕到中度)、頸項強直(腦脊膜刺激引起)、腰臀部疼痛、原有神經症狀加重,視覺障礙、眩暈、精神錯亂、幻覺、耳鳴、語言障礙、戰慄和不安等。
③嚴重反應如癲癇發作,較少發生,多出現在注藥後4—12小時,以往有癲癇史者,用藥過量和在用本品同時使用吩噻嗪類止吐藥或其他可降低癲癇發作闡值的藥物者較易發生。大量本品不慎進入顱腔而引起的癲癇可在給藥後2小時內即發生。癲癇發作者應及時進行抗癲癇治療,如肌內注射或慢速靜脈滴注地西拌(安定)10mg。癲癇發作雖已停止,但未給予治療者在20—30分鐘內仍應給予預防性治療,以防復發。
胸部血管3.本品鞘內給藥不良反應發生率與藥液濃度、用量和注入部位有關。頸段脊髓造影反應發生率比腰段造影高出一倍。
4.本品血管內給藥可引起下列反應:
①熱感、皮膚潮紅為較常見;
②噁心、嘔吐、蕁麻疹、鼻塞、流涕、顏面腫脹、胸悶、呼吸困難、喘鳴、心律失常、血壓下降等反應可能是嚴重過敏反應的先兆,需嚴密觀察和及時處理;
③有報告使用本品後數分鐘內出現心臟停搏或休克。
5.冠狀動脈內注藥可出現P-R間期輕度延長、血壓下降等,一般無臨床意義,嚴重反應較少發生。
6.周圍血管內注藥常出現熱感,可能有輕度疼痛,靜脈造影後個別病例形成血栓。
用藥禁忌
1.過敏反應較其他離予型含碘造影劑發生率低。與其他含碘造影劑間存在交叉過敏現象。
哮喘3.嬰、幼兒使用本品易引起或加重脫水,套用前應充分補足水分。
4.老年人對造影劑毒性較敏感,對由造影劑高滲透壓造成的血流動力學改變耐受性較差,易引起或加重脫水,套用本品前應補足水分。
5.對本品過敏者禁用。對其他含碘造影劑過敏者原則上禁用本品,必須使用時應十分謹慎,宜先用本品作造影劑過敏試驗,並準備好搶救安全措施。術前可給予抗組胺藥物和皮質激素預防或減輕反應,但效果不肯定。
6.下列情況應慎用;
①有哮喘史或其他過敏性疾病者;
②嚴重肝、腎疾病或腎功能嚴重損害者;
甲亢7.鞘內給藥時下列情況慎用;
①慢性酒精中毒;
②嚴重心血管疾病;
③腦血管疾病;
④有癲癇發作史者(易致癲癇發作,為相對禁忌症,必須使用本品檢查時應先用安定或其他抗癲癇藥物預防);
⑤多發硬化症。
8.血管內給藥時下列情況慎用:
①嚴重高血壓,心臟代償功能不全;
②甲亢;
③多發性骨隨瘤;
④嗜鉻細胞瘤;
⑤鐮狀細胞病。
相互作用
1.與金剛烷胺、苯丙胺、咖啡因、哌甲酯(利他林)、呋喃唑酮、丙卡巴肼(procarbazine)以及吩噻嗪類藥同用,可能使癲癇發作的闡值降低,增加癲癇的危險,宜在使用本品前48小時以及使用本品後24小時內停用。
2.在鞘內注射糖皮質激素類藥品可能增加發生蛛網膜炎的危險。忌與其他藥物配伍使用。
相關詞條
參考文獻
1.中國醫學藥典第二部
2.甲泛葡胺說明書
