定義
產品可靠性產品、系統在規定的條件下,規定的時間內,完成規定功能的能力稱為可靠性。
這裡的產品可以泛指任何系統、設備和元器件。產品可靠性定義的要素是三個“規定”:“規定條件”、“規定時間”和“規定功能”。
“規定條件”包括使用時的環境條件和工作條件;例如同一型號的汽車在高速公路和在崎嶇的山路上行駛,其可靠性的表現就不大一樣,要談論產品的可靠性必須指明規定的條件是什麼。
“規定時間”是指產品規定了的任務時間;隨著產品任務時間的增加,產品出現故障的機率將增加,而產品的可靠性將是下降的。因此,談論產品的可靠性離不開規定的任務時間。例如,一輛汽車在在剛剛開出廠子,和用了5年後相比,它出故障的機率顯然小了很多。
“規定功能”是指產品規定了的必須具備的功能及其技術指標。所要求產品功能的多少和其技術指標的高低,直接影響到產品可靠性指標的高低。例如,電風扇的主要功能有轉葉,搖頭,定時,那么規定的功能是三者都要,還是僅需要轉葉能轉能夠吹風,所得出的可靠性指標是大不一樣的。
可靠性的評價可以使用機率指標或時間指標,這些指標有:可靠度、失效率、平均無故障工作時間、平均失效前時間、有效度等。典型的失效率曲線是浴盆曲線,其分為三個階段:早期失效期、偶然失效期、耗損失效期。早期失效期的失效率為遞減形式,即新產品失效率很高,但經過磨合期,失效率會迅速下降。偶然失效期的失效率為一個平穩值,意味著產品進入了一個穩定的使用期。耗損失效期的失效率為遞增形式,即產品進入老年期,失效率呈遞增狀態,產品需要更新。提高可靠性的措施可以是:對元器件進行篩選;對元器件降額使用,使用容錯法設計(使用冗餘技術),使用故障診斷技術等。可靠性主要包括電路可靠性及元器件的選型有必要時用一定儀器檢測。
簡介
產品可靠性一般所說的“可靠性”指的是“可信賴的”或“可信任的”。我們說一個人是可靠的,就是說這個人是說得到做得到的人,而一個不可靠的人是一個不一定能說得到做得到的人,是否能做到要取決於這個人的意志、才能和機會。同樣,一台儀器設備,當人們要求它工作時,它就能工作,則說它是可靠的;而當人們要求它工作時,它有時工作,有時不工作,則稱它是不可靠的。
對產品而言,可靠性越高就越好。可靠性高的產品,可以長時間正常工作(這正是所有消費者需要得到的);從專業術語上來說,就是產品的可靠性越高,產品可以無故障工作的時間就越長。
簡單的說,狹義的“可靠性”是產品在使用期間沒有發生故障的性質。例如一次性注射器,在使用的時間內沒有發生故障,就認為是可靠的;再如某些一旦發生故障就不能再次使用的產品,日光燈管就是這類型的產品,一般損壞了只能更換新的。
從廣義上講,“可靠性”是指使用者對產品的滿意程度或對企業的信賴程度。而這種滿意程度或信賴程度是從主觀上來判定的。為了對產品可靠性做出具體和定量的判斷,可將產品可靠性可以定義為在規定的條件下和規定的時間內,元器件(產品)、設備或者系統穩定完成功能的程度或性質。例如,汽車在使用過程中,當某個零件發生了故障,經過修理後仍然能夠繼續駕駛。
產品實際使用的可靠性叫做工作可靠性。工作可靠性又可分為固有可靠性和使用可靠性。固有可靠性是產品設計製造者必須確立的可靠性,即按照可靠性規劃,從原材料和零部件的選用,經過設計、製造、試驗,直到產品出產的各個階段所確立的可靠性。使用可靠性是指已生產的產品,經過包裝、運輸、儲存、安裝、使用、維修等因素影響的可靠性。
要素
可靠性包含了耐久性、可維修性、設計可靠性三大要素。
耐久性:產品使用無故障性或使用壽命長就是耐久性。例如,當空間探測衛星發射後,人們希望它能無故障的長時間工作,否則,它的存在就沒有太多的意義了,但從某一個角度來說,任何產品不可能100%的不會發生故障。
可維修性:當產品發生故障後,能夠很快很容易的通過維護或維修排除故障,就是可維修性。象腳踏車、電腦等都是容易維修的,而且維修成本也不高,很快的能夠排除故障,這些都是事後維護或者維修。而象飛機、汽車都是價格很高而且非常注重安全可靠性的要求,這一般通過日常的維護和保養,來大大延長它的使用壽命,這是預防維修。產品的可維修性與產品的結構有很大的關係,即與設計可靠性有關。
設計可靠性:這是決定產品質量的關鍵,由於人――機系統的複雜性,以及人在操作中可能存在的差錯和操作使用環境的這種因素影響,發生錯誤的可能性依然存在,所以設計的時候必須充分考慮產品的易使用性和易操作性,這就是設計可靠性。一般來說,產品的越容易操作,發生人為失誤或其他問題造成的故障和安全問題的可能性就越小;從另一個角度來說,如果發生了故障或者安全性問題,採取必要的措施和預防措施就非常重要。例如汽車發生了碰撞後,有氣囊保護。
測試
可
產品可靠性根據可靠性統計試驗所採用的方法和目的,可靠性統計試驗可以分為可靠性驗證試驗和可靠性測定試驗。可靠性測定試驗是為測定可靠性特性或其量值而做的試驗,通常用來提供可靠性數據。可靠性驗證試驗是用來驗證設備的可靠性特徵值是否符合其規定的可靠性要求的試驗,一般將可靠性鑑定和驗收試驗統稱為可靠性驗證試驗。
1.如以環境條件來劃分,可分為包括各種應力條件下的模擬試驗和現場試驗;2.以試驗項目劃分,可分為環境試驗、壽命試驗、加速試驗和各種特殊試驗;
3.若按試驗目的來劃分,則可分為篩選試驗、鑑定試驗和驗收試驗;
4.若按試驗性質來劃分,也可分為破壞性試驗和非破壞性試驗兩大類。
5.但通常慣用的分類法,是把它歸納為五大類:
A.環境試驗
B.壽命試驗
C.篩選試驗
D.現場使用試驗
E.鑑定試驗
重要性
可靠性是與電子工業的發展密切相關的,其重要性可從電子產品發展的三個特點來加以說明。
首先,電子產品的複雜程度在不斷增加。人們最早使用的礦石收音機是非常簡單的,隨之先後出現了各種類型的收音機、錄音機、錄放相機、通訊機、雷達、制導系統、電子計算機以及宇航控制設備,複雜程度不斷地增長。電子產品複雜程度的顯著標誌是所需元器件數量的多少。而電子產品的可靠性決定於所用元器件的可靠性,因為電子產品中的任何一個元器件、任何一個焊點發生故障都將導致系統發生故障。一般說來,電子產品所用的元器件數量越多,其可靠性問題就越嚴重,為保證產品或系統能可靠地工作,對元器件可靠性的要求就非常高、非常苛刻。
其次,電子產品的使用環境日益嚴酷。從實驗室到野外,從熱帶到寒帶,從陸地到深海,從高空到宇宙空間,經受著不同的環境條件,除溫度、濕度影響外,海水、鹽霧、衝擊、振動、宇宙粒子、各種輻射等對電子元器件的影響,導致產品失效的可能性增大。
第三,電子產品的裝置密度不斷增加。從第一代電子管產品進入第二代電晶體,現已從小、中規模積體電路進入到大規模和超大規模積體電路,電子產品正朝小型化、微型化方向發展,其結果導致裝置密度的不斷增加,從而使內部溫升增高,散熱條件惡化。而電子元器件將隨環境溫度的增高,降低其可靠性,因而元器件的可靠性引起人們的極大重視。
可靠性已經列為產品的重要質量指標加以考核和檢驗。長期以來,人們只用產品的技術性能指標作為衡量電子元器件質量好壞的標誌,這隻反映了產品質量好壞的一個方面,還不能反映產品質量的全貌。因為,如果產品不可靠,即使其技術性能再好也得不到發揮。從某種意義上說,可靠性可以綜合反映產品的質量。
可靠性工程是一個綜合的學科,它的發展可以帶動和促進產品的設計、製造、使用、材料、工藝、設備和管理的發展,把電子元器件和其它電子產品提高到一個新的水平。正因為這樣,可靠性已形成一個專門的學科,作為一個專門的技術進行研究。
主要特徵
可靠性是一項重要的質量指標,只是定性描述就顯得不夠,必須使之數量化,這樣才能進行精確的描述和比較。可靠性的定量表示有其自己的特點,由於使用場合的不同,很難用一個特徵量來完全代表。
公式1.可靠度R或可靠度函式R(t)
產品的可靠度是指產品在規定條件下和規定時間內,完成規定功能的機率。
假設規定的時間為t,產品的壽命為T,在一批產品中的壽命有的T>t,也有的T≤t,從機率論角度可以將可靠度表示為T>t的機率,即
R(t)=P(T>t)
在數值上,某個時間的機率可用試驗中該事件發生的頻率來估計。
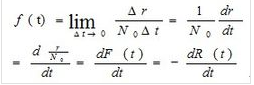
2.失效機率或積累失效機率F(t)
失效機率是表征產品在規定條件下和規定時間內,喪失規定功能的機率,也成為不可靠度。它也是時間t的函式,記作F(t),顯然
F(t)=P(T≤t)
公式它在數值上等於1減可靠度,也就是說,產品從0開始試驗(或工作)到時刻t,失效總數r(t)與初始試驗(或工作)產品總數N0之比,即積累失效機率F(t)與可靠度R(t)的關係式為F(t)=1-R(t)
3.失效密度或失效密度函式f(t)
失效密度是表示失效機率分布的密集程度,或者說是失效機率函式的變化率。它在數值上等於在時刻t,單位時間內的實效數Δr/Δt與初始試驗(或工作)產品總數N0的比值,同樣,當N0很大時,也可用微商的形式來表示。
其所描述的曲線成為失效密度曲線,它與橫坐標軸之間的面積恰好等於1。也就是說,失效密度這個隨機變數在(0,∞)範圍內的機率等於1。
4.平均壽命μ
平均壽命對不可修復或不值得修復的產品和可修復的產品有不同的含義。對於不可修復的產品,其壽命是指產品發生失效前的工作時間或工作次數。因此,平均壽命是指壽命的平均值,即產品在喪失規定功能前的平均工作時間,通常記作MTTF(meantimetofailure)。對可修復的產品,壽命是指兩次相鄰故障間的工作時間,而不是指產品的報廢時間。因此,對這類產品的平均壽命是指平均無故障工作時間,或稱平均故障間隔時間,記作MTBF(meantimebetweenfailures)。但是,不管哪類產品,平均壽命在理論上的意義是類似的,其數學表達式也是一致的。
假設被試產品數位N0,產品的壽命分別為t1、t2、……tn,則他們的平均壽命為各壽命的平均值,當失效密度函式f(t)已知,且連續分布,那么,總體的平均壽命μ可按下式計算:
一般說來,電子元器件的平均壽命愈長,在短時間內工作的可靠性愈高。但是,可靠性與壽命雖然密切相關,又不是同一概念,不能混為一談。不能認為可靠性高,壽命就長;也不能認為壽命長的可靠性就必然高,這與使用要求有關。通常所指的高可靠,是指產品完成要求任務的把握性特別高;而長壽命,是指產品可以用很長時間工作而性能良好。如海、地纜線通訊設備所用元器件要求使用20年而性能良好,體現了長壽命;飛彈工作時間不一定長,但工作時間內(幾秒、幾分或半小時)要求高度可靠,萬無一失,這就體現為高可靠。
意義
產品可靠性現代生產技術的發展特點之一是自動化水平不斷提高。一條自動化生產線是由許多零部件組成,生產線上一台設備出了故障,則會導致整條線停產,這就要求組成線上的產品要有高可靠性,上邊提到的Appolo宇宙飛船正是由於高可靠性,才一舉順利完成登月計畫。現代生產技術發展的另一特點設備結構複雜化,組成設備的零件多,其中一個零件發生故障會導致整機失效。如1986年美國“挑戰者”號太空梭就是因為火箭助推器內橡膠密封圈因溫度低而失效,導致太空梭爆炸和七名太空人遇難及重大經濟損失。由此可見,只有高可靠性產品才能滿足現代技術和生產的需要。2)高可靠性產品可獲得高的經濟效益
提高產品可靠性可獲得很高的經濟效益。如美國西屋公司為提高某產品的可靠性,曾作了一次全面審查,結果是所得經濟效益是為提高可靠性所花費用的100倍。另外,產品的可靠性水平提高了還可大大減少設備的維修費用。1961年美國國防部預算中至少有25%用於維修費用。蘇聯過去有資料統計,在產品壽命期內下列產品的維修費用與購置費用之比為:飛機為5倍,汽車為6倍,工具機為8倍,軍事裝置為10倍,可見提高產品可靠性水平會大大降低維修費用,從而提高經濟效益。
3)高可靠性產品,才有高的競爭能力
只有產品可靠性提高了,才能提高產品的信譽,增強日益激烈的市場競爭能力。日本的汽車曾一度因可靠性差,在美國造成大量退貨,幾乎失去了美國市場。日本總結了經驗,提高了汽車可靠性水平,因此使日本汽車在世界市場上競爭力很強。中國實行改革、開放的國策,現又面臨加入WTO,挑戰是嚴峻的。我們面臨的是世界已開發國家的競爭,如果我們的產品有高的可靠性,那就能打入激烈競爭的世界市場,從而獲得巨大經濟效益,促進民族工業的發展;相反,則會被別國擠出市場,甚至失去部分國內市場,由此可見生產高可靠性的產品的重要性。
實施
通常狀況下,在一個公司里,先進行生產,當生產進行到一定階段後,才開始考慮質量控制,最後隨著時間的推移,產品隱含的問題慢慢暴露出來,才體會到要進行可靠性控制,才考慮到需要一名可靠性工程師。作為一名可靠性工程師,在這種情況下,如何推行可靠性工作?一般情況下,實施可靠性分為:編寫計畫、可靠性測試、可靠性提升、可靠性保持等四大步;
其實可靠性工作中最主要、最有效、最根本的是上面四大步之外的第五步:可靠性設計;但目前99%以上的公司(除軍工企業外)其可靠性設計都只停留在前四步,沒有充分的可靠性設計。我們也就不在這裡討論如何實施可靠性設計的問題(各位大蝦在今後的工作中,應該把這為主要目標)。
現在,你有幸成為一個公司的可靠性工程師,那么你要做的就是前面四步。
一、制定可靠性工作計畫
對大部份公司來說,可靠性工作還只是在起步階段;相當一部份公司在可靠性方面的工作也很被動,有些在客戶要求提供有關可靠性的資料、數據時才開始做可靠性工作,有些甚至是在產品遭到退貨後才起步做可靠性工作;很多公司在可靠性方面的工作還是空白。雖然公司領導人開始著手考慮可靠性的問題不然,他不會招你做可靠性工程師,但是在公司而言,絕大部分人員對可靠性還是陌生的,所以最初的計畫階段就顯得尤為重要。
首先,你被公司招聘為可靠性工程師,負責有關的可靠性的工作。
接著,你需要宣傳可靠性工作的重要性;可靠性工作不是靠一個人的力量能完成的,要讓公司上下每個人員都明白可靠性的重要性、必要性,特別是高層領導的重視。可靠性不夠好的產品,依然能用,所以很容易被大部份人忽視。另外可靠性的工作,其效果在半年內很難看出來,沒有領導的重視,很難順利進行下去。你可以在適當的時候用對比性較強的數據(如以前的產品遭客戶投訴/返修率,與做過可靠性的產品的客戶投訴/返修率)說明可靠性的重要性。之後,編寫可靠性測試計畫;在對可靠性的重要性作普及性的介紹後,就可以針對該公司的產品做一些可靠性測試的計畫。建議可靠性計畫分兩部分,第一部分是可靠性測試方案,包括測試流程、取樣方法、測試方法、結果判定等具體內容;第二部分是可靠性工作目標,這部分當然是寫你希望在工作期間把可靠性工作做在研發階段,通過可靠性設計來控制公司產品質量、降低產品成本。這一個可以見的成果,計畫一定要寫,而且還要領導簽字。第一部份是讓領導知道你能做很多實際的事,第二部份是讓領導知道你有大志向。
最後,推廣可靠性測試計畫;這是較關鍵的一步,其主要目的做到是讓公司員工知道可靠性要測試什麼,以便有針對性地提升可靠性;通過推廣、討論,還能使公司員工在更多方面達到一致,減少走彎路的可能性。可以跟生產技術部、研發部討論可靠性測試工作,可以給市場部、生產、售後等部門開展一些培訓的工作,必要時還可以請其它公司“高手”來該公司做一些講座等等。總之,要讓全公司都知道你是可靠性工程師,這樣做的好處你很快就能親身體驗到。記住:不要擔心你講的內容太簡單隔業如隔山,即使有個別人對某一點理解比你深,但他知道的也不會比你全面、不要擔心培訓時間太短越短越好,只要長於10分鐘即可,不要怕沒有人是完美的,不然你年薪早超過百萬美元了,你是被公司領導確認後專門做可靠性的專家。
二、執行可靠性測試
一切準備工作做好後,就開始第二步:測試產品的可靠性。在開真正測試前,還有一些準備工作,如是否有用於測試的設備等。一般來說,可靠性測試主要分為環境測試和機械測試;做環境測試你至少需要一台“溫濕度交變箱”,最好還有一台低溫冰櫃;做機械測試在執行測試時,你至少應該有“機械振動台”,最好還有一個“機械衝擊台”。一般小公司,在實驗設備上不會很完善,需要你一手把它建起來從溫濕度箱到振動台、到EMC實驗室。如果公司里什麼設備都沒有,那么購買一台溫濕度箱是必要的價格不高,利用率不低,機械振動台可以不買價格較高,利用率不高;可以出資金去第三方測試。如果在你來公司之前,公司零零散散地做過有關可靠性的測試,可能有一些人員和設備,那么你在進行可靠性測試時,就應該申請把這部份納入你的“門”下,命名為“可靠性實驗室”或“可靠性測試部”,其實可能只有一台溫溫度箱、一個作業人員,但沒關係,
只有“自立門戶”才有發展。等有了溫濕度箱後,你就可以開始測試了。基本性能的測試;可靠性測試前,必須對產品的基本性能做出判斷。經過性能的測試,可以將產品分為三個檔次:一是良品、二是不良品、三是次品介於良品和不良品之間,在標準左右20%的部分。良品可以用來做可靠性測試、不良品不可以用來做可靠性測試、次品需要分析(有些是因為製作過程中的缺陷導致-這部分不可用來做可靠性測試、有些只是一些隨機現象參數略有偏差-這部分可以用來做可靠性測試)。除了判斷是否可以用來測試外,最主要的是還可以用來與可靠性測試後的性能做對比。可靠性測試;按測試計畫,對相應的產品進行振動、高溫等測試。每次測試後,需要對產品的基本性能進行測量有些測試要求在測試過程中進行基本性能的測量,再進行對比、分析可靠性測試前後基本性能的變化,確定可靠性測試結果。測試時注意:測試過程中,讓設備自動記錄(最好能列印)測試環境;測試後對樣品的測量最好能與樣品所屬階段責任人一起。測試的變動;很多原因,導致你在實際工作過種中需要對某些測試進行相應的變動。如:①去較遠的地方進行振動測試,你可以將多種產品的振動測試“集中”到一起;②有人認為測試時間太長可靠性測試可能會在1000Hrs左右,你應該考慮加速測試按近似做法:溫度很升高10℃,產品的壽命減半;詳細做法見下一節,③如設備同時控制溫濕度時在最初的上升階段可能會超出範圍,你可以改成先設定溫度再設定濕度;④溫度衝擊測試可能由一個高溫箱、一個低溫箱和人工來實現不用花30萬購買溫度衝擊箱,⑤當需要在100℃以上時帶濕度,你可以用高壓鍋來實現要考慮測試的精度等等。
不管有怎樣的變動,你都應該有詳細變動記錄、測試記錄;實際工作中的經驗和方式,大家不會比我少。你會做得比我更好。
三、可靠性增長
你不能只停留在可靠性測試階段,可靠性工作的精髓在於可靠性設計,只有做好可靠性設計/增長才能節約成本、提升產品質量。可靠性的提升主要集中在研發階段、定型之前。一旦設計已經定型、或進入量產階段,再想從設計上改善可靠性,已經是不太可能浪費太多、成本太高。而大部分公司都是因產品可靠性差、受到整個市場的要求後(返修成本增加、退貨增多)才開始考慮到可靠性的,但此時產品已經投入市場!此時想把這些產品的可靠性提升到一個新的高度已經不可能,你能做的只是看著居高不下的返修率,但你必須做好下一次產品的可靠性。建議最初你把精力放在一個產品上,做好一個產品的可靠性。如何進行可靠性增長?首先,要掌握的是生產流程、製作工藝,每個流程的操作方法也是應該完全了解的。這一點,無需解釋,必須做到。
其實,要學習一定的技術,至少你要掌握該公司產品的工作原理。你雖然不是研發部門,但你要責任研發產品的可靠性,完全不懂相應的技術,工作很難開展。如果是元器件產品,對用到的每種原材料及原材料的特性應該了解;如果是系統類產品,對硬體、軟體、結構都應該有了解,如各模組的功能、模組之間的接口、軟體的功能等等。
接著,要建立一個團隊(給她一個好名字),負責可靠性增長,成員多多益善,但至少應包括:公司領導、可靠性工程師、研發工程師、生產技術、物流人員各一名。團隊的力量和必要性這裡我就不多說了。最後就是改善行動;當測試過程中出現不良時,必須針對不良現象進行分析、改善,將改善措施標準化,這樣才能保證品質得到提升。最常用的方法就是“測試-改善-測試”,如此循環,逐步提升。需要強調的就是,每一次改善,應該認真、徹底地處理,用數據來結案。與ISO9000一樣,一次改善通常包括以下幾個步驟。
1.可靠性測試;按測試計畫,取樣進行測試;
2.現象描敘;這一部份應該儘可能詳細地描敘不良現象,包含產品的名稱(軟硬體版本號),發生時間、地點,做到“按時間順序記錄與產品有關的所有狀況”;
3.原因分析;對原因的分析,應該追根究底,找出問題的根本原因,而不是在現象之間轉化,做到“人工產生此原因時,現象能完全再現”;
4.改善行動;根據分析的原因,採取對應的措施。此時應該考慮兩方面:一是現有的其它產品是否也會這樣的問題,如何改善;一是如何防止後續產品出現此類問題;
5.效果確認;主要確認兩點:一是改善行動是否有執行;一是執行了改善行動後的產品是否還會出現這樣的問題(用數據證明)。
6.形成標準;如果經確認,改善措施有效(不良率下降),就應該把這些措施寫進操作規範,指導後續生產。還要考慮這種措施是否對其它類似產品也有效等問題;
7.再取樣,再測試。
經過多次這種“測試-改善-測試”,產品的缺陷會越來越少,品質也就越來越好。最終,當樣品進行可靠性測試時,無缺陷出現。
產品可靠性可靠性保持主要是指在進行大批量生產時,產品的可靠性能穩定保持在最佳狀態;較難做到的是“穩定地保持在最佳狀態”,要做到這一點需要多方面的努力。
1.供應商
為了保證供應商供應的原材料穩定在最佳狀態,我們可以分四步控制:
1.認真選擇供應商,確保其滿足“合格供應商資格”;
2.供貨過程中,IQC檢驗、可靠性檢驗要嚴格執行;
3.所有過程信息共享;檢驗過程中出現的問題和異常情況,應該第一時間通知供應商,尋求改善,要通過各種途徑證明改善效果良好,方可結案;
4.定期向供應商反饋品質狀況,必要時開會討論。
2.生產過程
生產是一個包含最多“變數”的過程,機械化與自動化是保證穩定的最有效因素;在未現實完全自動化的狀況下,生產過程主要有以下控制點:
1.檢驗投入使用的物料狀況良好;
2.檢驗各工位操作是否滿足操作要求;
3.檢驗各工位輸出是否達到下一工位要求;
4.檢驗產品性能是否滿足成品要求;
5.檢驗產品可靠性是否達到規定的要求;
3.測試
針對公司的產品進行各種測試。測試過程中,任何問題都需要給予改善,以提升產品品質。任何一個問題的出現,就是給我們指出一個前進的方向;對問題的改善,標誌著品質又上升了一個台階。有這種態度,還有什麼辦不到的。
其他信息
產品在使用過程中,有不同的使用環境(有些安裝在室外、有些隨身攜帶、有些裝有船上等等),會受到不同環境的應力(有些受到風吹雨濕、有些受到振動與跌落、有些受到鹽霧蝕侵等等),可靠性測試可以選擇億博可靠性測試中心
為了確認產品能在這些環境下正常工作,國標、行標都要求產品在環境方法模擬一些測試項目,這些測試項目包括:
1).高溫測試(高溫運行、高溫貯存);
2).高低溫交變測試(溫度循環測試、熱衝擊測試);
4).高溫高濕測試(濕熱貯存、濕熱循環);
5).機械振動測試(隨機振動測試、掃頻振動測試);
6).汽車運輸測試(模擬運輸測試、碰撞測試);
7).機械衝擊測試;
8).開關電測試;
9).電源拉偏測試;
10).冷啟動測試;
11).鹽霧測試;
12).淋雨測試;
13).塵砂測試。
積體電路
可靠性,英文為Reliability,從字面意思很容易理解,我們一般說“可靠的”,是指“可信賴的”,可靠性即可靠的性質和程度,就是指產品在使用時用戶是否可以信賴它,它可以正常、準確、穩定地發揮其功能和性能的能力和程度有多高。
積體電路被喻為電子產品的大腦和心臟、國家的工業糧食、現代信息社會的基石,可見其可靠性尤為重要。半導體積體電路由於其材料的特性和器件結構、生產工藝上的特點,存在一些特有的物理效應,並在一定的條件下發生作用,可能會改變積體電路內部的形態和參數,從而使產品失效。其主要失效原理有:電遷移效應、靜電放電、過電損傷、熱載流子效應、閂鎖效應、介質擊穿、α輻射軟誤差效應。另外在經過貯存、使用一段時間後,在各種環境因素(如溫度、濕度、機械、射線)和工作應力(電流、電壓、時間、頻率)的作用下,某些電性能參數將逐漸發生變化,出現如溫漂、時漂等失效,或者封裝質量直接影響到半導體晶片的可靠性,比如管腳易焊性差或者鏽蝕導致的接觸不良。
積體電路的可靠性可以分為可靠性設計、可靠性測試,目前都已經積累了很豐富的經驗和技術規範。對於目前套用最廣的CMOS積體電路來說,由於CMOS器件的P管和N管與襯底之間存在多個PN結,而兩個背靠背的P-N結就構成了一個雙極型的晶體三極體,這些電晶體並非人們想要的,不希望它們介入正常功能所需的電路中,稱之為寄生器件。但在晶片使用過程中,可能會產生條件,使這些寄生電晶體被觸發導通,在電源和地之間形成一個低阻通路,產生大電流,導致電路無法工作,甚至燒毀電路。這就是CMOS電路固有的Latch-up效應(閂鎖效應)。
可靠性設計
可靠性設計要求在積體電路的需求分析和設計階段,就充分考慮晶片的使用場景和環境,制定其可靠性指標和失效容限,將預防失效和失效後保護的措施導入電路設計中。可靠性設計可以從線路、版圖、工藝、封裝結構幾個方面來實施。例如避免閂鎖效應可採用幾種常見的措施:增加基區寬度(NMOS與PMOS之間的間距)、使用可以吸收注入電荷的保護環、深槽隔離等;每個廠家的工藝都有詳細的指導書說明如何遵守設計規則,來控制閂鎖的發生。
可靠性測試
可靠性測試則是在晶片生產後,在封裝前後對積體電路本身和晶片整體進行測試,來檢驗其是否存在故障、失效機率有多大、可靠程度有多高,從而指導晶片套用和進行下一版設計最佳化。可靠性測試有很多種,有成熟的測試標準、測試方法和設備,下面選取列出部分業內常用的測試項和參考的標準。其中GJB是中國的軍工標準,JESD是JEDEC固體技術協會(美國電子工業協會內轄的一個組織,後獨立為固體電子行業的一個協會)發布的標準。例如閂鎖測試可以按照JESD78D標準來進行,其中建立了一套定義閂鎖特性和失效等級的測試方法,適用於NMOS、CMOS、雙極電路以及這幾種電路的組合。

