基本形式
一台濕度計正在紀錄相對濕度濕度有三
種基本形式,即水汽壓、相對濕度、露點溫度。
(曾稱為絕對濕度)表示空氣中水汽部分的壓強,單位以百帕(hPa)為單位,取小數一位;
相對濕度用空氣中實際水汽壓與當時氣溫下的飽和水汽壓之比的百分數表示,取整數;
露點溫度是表示空氣中水汽含量和氣壓不變的條件下冷卻達到飽和時的溫度,單位用攝氏度(℃)表示,取小數一位。配有濕度計時還可以測定相對濕度的連續記錄和最小相對濕度。
測量
濕度計多個量被用來表示空氣的濕度。下面列出最常用的:
公式水汽壓
絕對濕度
相對濕度
比濕
露點用來測量濕度的儀器叫做濕度計。
絕對濕度
絕對濕度是一定體積的空氣中含有的水蒸氣的質量,一般其單位是克/立方米。絕對濕度的最大限度是飽和狀態下的最高濕度。絕對濕度只有與溫度一起才有意義,因為空氣中能夠含有的濕度的量隨溫度而變化,在不同的溫度中絕對濕度也不同,因為隨著溫度的變化空氣的體積也要發生變化。但絕對濕度越靠近最高濕度,它隨溫度的變化就越小。
公式下面是計算絕對濕度的公式:
e m
ρw =───=──
Rw·T V
其中的符號分別是:
e – 水汽壓,單位是帕斯卡
Rw – 水的氣體常數=461.52J/(kg K)
T – 溫度,單位是開爾文
公式m – 在空氣中溶解的水的質量,單位是克
V – 空氣的體積,單位是立方米
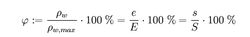
相對濕度
一台濕度計正在記錄相對濕度相對濕度是絕對濕度與最高濕度之間的比,它的值顯示水蒸氣的飽和度有多高。相對濕度為100%的空氣是飽和的空氣。相對濕度是50%的空氣含有達到同溫度的空氣的飽和點的一半的水蒸氣。相對濕度超過100%的空氣中的水蒸氣一般凝結出來。隨著溫度的增高空氣中可以含的水就越多,也就是說,在同樣多的水蒸氣的情況下溫度升高相對濕度就會降低。因此在提供相對濕度的同時也必須提供溫度的數據。通過相對濕度和溫度也可以計算出露點。
計算公式ρw e s
φ =───·100%=─·100%=─·100%
ρw,max E S
其中的符號分別是:
ρw – 絕對濕度,單位是克/立方米
ρw,max – 最高濕度,單位是克/立方米
e – 水汽壓,單位是帕斯卡
E – 飽和水汽壓,單位是帕斯卡
s –比濕,單位是克/千克
S – 最高比濕,單位是克/千克
比濕
比濕是融化在空氣中的水的質量與濕空氣的質量之間的比。假如沒有凝結或蒸發的現象發生的話一個封閉的空氣在不同的高度下的比濕是相同的。在飽和狀態下的最高比濕的符號是S。
計算比濕s的公式見參考資料
公式相似地最高比濕見參考資料
其中使用的符號分別為:
mx – 質量,單位為克
ρx –密度,單位為克/立方米
Vtotal – 濕空氣的總體積,單位為立方米
Rw – 水的氣體常數,單位為焦耳/(千克·開爾文)
RL – 乾空氣的氣體常數,單位為焦耳/(千克·開爾文)
T – 溫度,開爾文
MWater – 水的摩爾質量=18.01528克/摩爾
–乾空氣的摩爾質量=28.9634克/摩爾
e – 水汽壓,單位是帕斯卡
p –氣壓,單位為帕斯卡
E – 飽和水汽壓,單位為帕斯卡
測量方法
公式乾濕球測量法
露點濕度測量法
利用物質幾何尺寸變化測量法
庫倫濕度計
光學形濕度計
氣象色譜法
化學物質電特性法
離子晶體冷凝濕度計
我國濕潤度
數據反演產品
2005年中國濕潤係數分布圖目前已有產品包括中國2000~2011年逐年、逐月、逐旬、逐天產品。
意義和用途
空氣濕度在許多方面有重要的用途,在大氣學、氣象學和氣候學中它主要是理論中的一個重要值,而在實際套用上的作用比較小。
氣象學水文學
下雨的時候,空氣濕度是非常大的在氣象學和水文學中濕度是決定蒸發和蒸騰的重要數據。它對不同的氣候區的產生起決定性的作用。大氣中的水蒸氣在水循環過程中也是必不可少的。通過水蒸氣水可以很快地在地球表面運動。水在大氣中形成降水、雲和其它現象,它們決定了地球的氣象和氣候。
而在天氣預報中,更常用到相對濕度。它反映了降雨、有霧的可能性。在炎熱的天氣之下,高的相對濕度會讓人類(和其他動物)感到更熱,因為這妨礙了汗水的揮發。人類可以從而制定出酷熱指數。
醫學
在醫學上空氣的濕度與呼吸之間的關係非常緊密。在一定的濕度下氧氣比較容易通過肺泡進入血液。一般人在45-55%的相對濕度下感覺最舒適。過熱而不通風的房間裡的相對濕度一般比較低,這可能對皮膚不良和對黏膜有刺激作用。濕度過高影響人調節體溫的排汗功能,人會感到悶熱。總的來說人在高溫但低濕度的情況下(比如沙漠)比在溫度不太高但濕度很高的情況下(比如雨林)的感覺要好。在通過呼吸進行麻醉時麻醉氣體的濕度是非常關鍵的。醫學上使用的麻醉氣體一般是在無水的情況下存放的,假如在使用時不添加濕度的話會在人的肺中導致蒸發和失水。
生物學
在生物學中,尤其是在生態學中空氣濕度是一個非常關鍵的量。它決定一個生態系統的組成。在植物的葉面上氣孔的開關和植物的呼吸。有些動物比如蝸牛隻有在它們的皮膚有一定濕度的情況下才能吸收氧氣。
儲藏和生產
在存放水果的倉庫里濕度決定水果的成熟。在存放金屬的倉庫里濕度過高可能導致腐蝕。其它許多貨物比如化學藥劑、煙、酒、香腸、木、藝術品、積體電路等等也必須在一定的濕度或在濕度為零的條件下存放。因此在許多倉庫、博物館、圖書館、計算機中心和一定的工廠(比如微電子工業)中都有空調裝置來控制室內的濕度。
農業和林業
霧氣瀰漫的森林濕度過低可以在農業上導致土壤和植物失水和減產。
在林業和林木工業中濕度也是一個非常關鍵的量。在鋸木廠人們往往向堆積在那裡的木頭澆水。木頭本身有它自己的濕度,在空氣中它的濕度逐漸與空氣的周圍濕度靠近。這個木頭內的濕度的變化會導致木頭的體積的變化,這對林木工業來說是非常關鍵的。
一般木頭在存放時要讓空氣可以直接與它的各個方向接觸,這樣來避免木頭變形或發霉。在鋪地板時最好先讓地板的木頭在房屋內擱置一兩天,來讓它與房屋內的濕度一樣,否則的話地板的木頭可能會在鋪設後伸張或收縮。
建築
在建築物理中露點是一個非常重要的量。假如一座建築內的溫度不一樣的話,那么從高溫部分流入低溫部分的潮濕的空氣中的水就可能凝結。在這些地方可能會發霉,在建築設計時必須考慮到這樣的現象。 此外相對濕度是衡量建築室內熱環境的一個重要指標,建築物理把在人體的主觀熱感覺處於中性時,風速不大於0.15m/s,相對濕度為50%定為最舒適的熱環境,這也是室內熱環境設計的一個基準。
靜電與濕度
空氣越乾燥越易產生靜電, 相對濕度(RH)對表面積累電荷的性能產生直接影響。相對濕度越高,物體儲存電荷的時間就越短,表面電荷減小(因為相對濕度增加)的方式可通過複合或傳導,當相對濕度增加,空氣的電導率也隨之增加。
在空氣逐漸乾燥時(相對濕度的百分比減小),產生靜電的能力變化是確定且明顯的。在相對濕度10%(很乾燥的空氣)時,在地毯上行走時,就能產生35kV的電荷,但在相對濕度55%時將銳減至7.5kV。工作環境的相對濕度的最佳範圍在30%—50%。一些清潔場所一般要求相對濕度在50%,由於存在對腐蝕和濕度的影響較敏感的器件,其它環境需要較低的相對濕度。
加濕和除濕
加濕離心式加濕原理
離心加濕器工作原理:
離心式加濕器是利用高速電機帶動複合葉輪鏇轉產生真空,貯水箱內的水
在大氣壓力作用下通過吸水器壓至複合霧化葉輪,經化成直徑為5um的細霧,
經過下進風道的微風,送至出霧口,在出霧口與上進風道的高速風流相匯合
形成高速氣霧噴到空氣中,氣霧與空氣中的餘熱相接觸,完全汽化,達到加
濕目的。
極式加濕原理
電極式蒸汽加濕器的工作原理:
當自來水進入加濕桶後,水位逐漸上升。在加濕器電極上通電,當水位漫
過電極後,電極之間通過水的導電性而構成電流迴路,並把水加熱至沸騰,
輸出潔淨蒸汽。
隨道蒸氣輸出,水位逐漸降低。這時進水閥通電打開,再次進水,直到
合適的水位,並繼續產生蒸汽。
當加濕桶中的礦物質濃度越來越高時,排水閥自動打開,排去廢水,加
濕器再次補充新水,並繼續加濕工作過程。
使用導電率過高或過低的自來水可能會導致加濕桶損耗過快或加濕量不足
超音波加濕器原理
超音波加濕器是採用超音波高頻振盪的原理,將水霧化為1—5微米的超微粒子,通過風動裝置,將水霧擴散到空氣中,從而達到均勻加濕空氣的目的。其特點是,加濕強度大,加濕均勻,加濕效率高;節能、省電;超長使用壽命;濕度自動平衡,無水自動保護;兼具醫療霧化、冷敷浴面、清洗首飾等功能;缺點是對水質有一定的要求。
加濕器主要是靠 霧化片來工作你指的是離心式加濕
霧化片上接上電源就可以做一個簡單的加濕器了,這樣是不成立的,因為他有一個真空的大氣壓作用,你沒法做到,
所以電壓也無從說起了
▲除濕
除濕機工作原理
轉輪除濕機的核心結構為一不斷轉動的蜂窩狀乾燥轉輪,它是除濕機吸收水分的最關鍵的部件,是由含有少許金屬鈦的特殊玻璃纖維載體和活性矽膠複合而成,其蜂窩狀的結構設計,不僅能夠極大限度的附著吸濕劑,增加濕空氣與吸濕劑相互接觸的表面積,提高除濕機的工作效率,而且具有很高的強度,能夠很好的適用於各種複雜的工作環境。
轉輪的兩側,由高度密封性能的矽橡膠製成的隔板將整個表面分成兩個扇區: 270度的處理扇區;90度的再生還原扇區。
當需要除濕的潮濕空氣(稱處理空氣)進入處理區域,濕空氣中的水蒸氣被轉輪中的活性矽膠所吸附, 從而得到乾燥,乾燥後的空氣則通過送風機送出。 隨著吸收水分的增加,處理扇區漸漸趨於飽和狀態。為了維持其穩定的除濕性能,就需要對轉輪中的吸濕劑進行再生還原,這時, 趨於飽和的轉輪在馬達的驅動下,慢慢轉入再生區域, 開始再生再生過程。
再生空氣(一般取自室外或機房)經過加熱後達到100~140度, 然後反向吹入再生區域,在高溫狀態下,轉輪中已吸收的水份被脫附,再生空氣由於在脫附過程中損失了大量顯熱,自身溫度降低,變成了飽含水分的濕空氣,被風機引導排至室外,從而完成了水分的轉移。而轉輪在再生脫水後,重新恢復了強大的吸濕能力,在馬達的驅動下,轉入工作區域進行除濕。
上述的除濕和再生過程是同時發生的,空氣不斷被乾燥,轉輪不斷被再生,周而復始,從而保證了除濕機持續恆定的工作狀態。轉輪轉速8~12轉/小時,所需動力極小, 除濕機出口空氣參數條件,僅取決於進口空氣的參數和再生能量的控制。
身體健康
在任何氣溫條件下潮濕的空氣對人體都是不利的。
研究表明,濕度過大時,人體中一種叫松果腺體分泌出的松果激素量也較大,使得體內甲狀腺素及腎上腺素的濃度就相對降低,細胞就會“偷懶”,人就會無精打采,萎靡不振。長時間在濕度較大的地方工作、生活,還容易患濕痹症;濕度過小時,蒸發加快,乾燥的空氣容易奪走人體的水分,使皮膚乾燥、鼻腔黏膜受到刺激,所以在秋冬季乾冷空氣侵入時,極易誘發呼吸系統病症。此外,空氣濕度過大或過小時,都有利於一些細菌和病毒的繁殖和傳播。科學測定,當空氣濕度大於65%或小於40%時,病菌繁殖滋生最快,當相對濕度在45%-55%時,病菌死亡較快。
相對濕度通常與氣溫、氣壓共同作用於人體。現代醫療氣象研究表明,對人體比較適宜的相對濕度為:夏季室溫25℃時,相對濕度控制在 40%-50%比較舒適;冬季室溫20℃時,相對濕度控制在60%-70%。夏季三伏時節,由於高溫、低壓、高濕的作用,人體汗液不易排出,出汗後不易被蒸發掉,因而會使人煩躁、疲倦、食欲不振;冬季濕度有時太小,空氣過於乾燥,易引起上呼吸道黏膜感染,患上感冒。據科學試驗,在氣溫日際變化大於3℃、氣壓日際變化大於10百帕,相對濕度日際變化大於10%時,關節炎的發病率會顯著增加。
人體致死的高溫指標與空氣濕度也有很大關係。當氣溫和濕度高達某一極限時,人體的熱量散發不出去,體溫就要升高,以致超過人體的耐熱極限,人即會死亡。因此,我國規定災害性天氣標準為,長江以南最高氣溫高於40℃,或者最高氣溫達35℃,同時相對濕度大於60%;長江以北地區最高氣溫達35℃,或者最高氣溫達30℃,同時相對濕度大於65%。
夏季,濕度增大,水汽趨於飽和時,會抑制人體散熱功能的發揮,使人感到十分悶熱和煩躁。冬天,濕度增大時,則會使熱傳導加快約20倍,使人覺得更加陰冷、抑鬱。關節炎患者由於患病部位關節滑膜及周圍組織損傷,抵抗外部刺激的能力減弱,無法適應激烈的降溫,使病情加重或酸痛加劇。如果濕度過小時,因上呼吸道黏膜的水分大量喪失,人感覺口乾舌燥,甚至出現咽喉腫痛、聲音嘶啞和鼻出血,並誘發感冒。調查研究還表明,當相對濕度達90%以上,25℃會讓人感覺30℃似的。乾燥的空氣能以與人體汗腺製造汗液的相等速度將汗液吸收,使我們感覺涼快。可是濕度大的空氣卻由於早已充滿水分,因而無力再吸收水分,於是汗液只得積聚在我們的皮膚上,使我們的體溫不斷上升,同時心力不勝負荷。
空氣濕度是表示空氣中水汽含量和濕潤程度的氣象要素。地面空氣濕度是指地面氣象觀測規定高度(即1.25~2.00米,國內為1.5米)上的空氣濕度。是由安裝在百葉箱中的乾濕球溫度表和濕度計等儀器所測定的(基本站每日定時觀測4次,基準站每日定時觀測24次),有三種基本形式,即水汽壓、相對濕度、露點溫度。水汽壓(曾稱為絕對濕度)表示空氣中水汽部分的壓力,單位以百帕(hpa)為單位,取小數一位;露點溫度是表示空氣中水汽含量和氣壓不變的條件下冷卻達到飽和時的溫度。
濕度單位
RH就是相對濕度,(Relative Humidity)是用露點溫度來定義的。 濕度的名詞解釋: 在計量法中規定,濕度定義為“物象狀態的量”。日常生活中所指的濕度為相對濕度,%rh表示。總言之,即氣體中(通常為空氣中)所含水蒸氣量(水蒸氣壓)與其空氣相同情況下飽和水蒸氣量(飽和水蒸氣壓)的百分比。

