研究內容
根據生命科學的需要,生物數學的內容分為以下幾個主要方面。
數量化
生物數學所謂生命現象數量化,就是以數量關係描述生命現象。數量化是利用數學工具研究生物學的前提。生物表
現性狀的數值表示是數量化的一個方面。生物內在的或外表的,個體的或群體的,器官的或細胞的,直到分子水平的各種表現性狀,依據性狀本身的生物學意義,用適當的數值予以描述。數量化還表現在引進各種定量的生物學概念,並進行定量分析。如體現生物親緣關係的數值是相似性係數。各種相似性係數的計算方法以及在此基礎上的聚類運算構成數量分類學表征分類的主要內容。遺傳力表示生物性狀遺傳給後代的能力,對它的計算以及圍繞這個概念的定量分析是研究遺傳規律的一個重要部分。多樣性,在生物地理學和生態學中是研究生物群落結構的一個抽象概念,它從種群組成的複雜和紊亂程度體現群落結構的特點。多樣性的定量表示方法基於信息理論。
數量化的實質就是要建立一個集合函式,以函式值來描述有關集合。傳統的集合概念認為一個元素屬於某集合,非此即彼、界限分明。可是生物界存在著大量界限不明確的、“軟”的模糊現象,如此“硬”的集合概念不能貼切地描述這些模糊現象,給生命現象的數量化帶來困難。1965年L.A.扎德提出模糊集合概念,模糊集合適合於描述生物學中許多“軟”的模糊現象,為生命現象的數量化提供了新的數學工具。以模糊集合為基礎的模糊數學已廣泛套用於生物數學。
數學模型方法
生物數學為了研究的目的而建立,並能夠表現和描述真實世界某些現象、特徵和狀況的數學系統,稱為數學模型。數學模型能定量地描述生命物質運動的過程,一個複雜的生物學問題藉助數學模型能轉變成一個數學問題,通過對數學模型的邏輯推理、求解和運算,就能夠獲得客觀事物的有關結論,達到對生命現象進行研究的目
的。
生物數學例如描述種群增長最簡單的模型是馬爾薩斯方程:(圖一)(常數r>0)式中N表示種群的數量;r是種群增長的相對速率。方程的解為(圖二)式中N0表示時間為t0時初始種群大小。這個模型簡單地描述
種群按幾何級數增長的過程。
從數學模型獲得的結果應該符合實際情況,否則對模型應進行修改,使之儘可能正確地表達生命物質運動的真實情況。模型的不斷完善是對生命現象認識逐漸深入的過程。
上述模型的解,種群隨時間推後無限增大,這個結果顯然不合理。如果考慮有限生存條件
的限制,改進之後的模型有費爾許爾斯特-珀爾方程,又稱Logistic方程 (圖三)。 (常數a,b>0)如果初始值取(圖四),方程的解(圖五)當t→∞,解的漸近值是a/b,它表示種群受生存條件限制不可能超過的極限。這個模型比較正確地表示種群增長的規律,具有廣泛用途。
描述捕食與被捕食兩個種群相剋關係的數學模型是洛特卡-沃爾泰拉方程:(圖六)常數a1、a2、b1和b2>0)其中N1和N2分別表示被捕食和捕食種群的大小。方程的解是
生物數學a2lnN1+α1lnN2-b2N1-b1N2=C其中C為積分常數,由初始條件(初始兩個種群大小)確定。不同的初始條件得到相應的曲線簇,從曲線的形狀可以看出種群此起彼落周期性的變化(圖1)。對模型的進一步分析可知,如果捕食與被捕食種群以相同的比例減小,將有利於被捕食種群大量增長。這個結果從理論上說明了不適當地使用農藥,在毒殺害蟲的同時也殺死了害蟲的天敵,而常常導致害蟲更猖獗地發生。利用方程的解,還可算出種群變化的近似周期和振幅等十分有意義的結果。
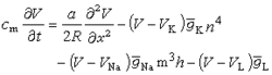
A.L.霍奇金和A.F.赫胥黎從生物膜上電離子的遷移闡明神經興奮傳導的機理。他們建立的模型屬於二階偏微分方程,稱霍奇金-赫胥黎方程(H-H方程): (圖七)
其中V表示神經纖維膜電位,R是軸向電阻率,α是軸突半徑,x表示神經纖維軸向距離。等式左邊代表膜電容產生的電流分量;右邊第一項代表神經纖維橫截面電流變化率;右邊其餘三項分別代表鉀、鈉和其他離子產生的電流分量。霍奇金曾以槍烏賊神經纖維為實驗材料,根據H-H方程計算得到的曲線與實驗結果吻合得很好(見生物膜離子通道)。
一種比H-H方程更一般的方程類型,稱為反應擴散方程。作為數學模型這一類方程在生物學中廣為套用,它與生理學、生態學、群體遺傳學、醫學中的流行病學和藥理學等研究有較密切的關係。
綜合分析方法
生物數學多元分析適應生物學等多元複雜問題的需要、在統計學中分化出來的一個分支領域。它是從統計學的角度進行綜合分析的數學方法。多元統計的各種矩陣運算體現多種生物實體與多個性狀指標的結合,在相互聯繫的水平上,綜合統計出生命活動的特點和規律性。
系統論和控制論 以系統和控制的觀點,進行綜合分析的數學方法。
生物數學例如有一個生態系統,包括水、一個水生植物種群和一個草食動物種群,研究物質磷在系統中的變化過程。水、水生植物和草食動物含有磷的數量是系統的基本變數,分別以x1、x2和x3表示,稱為狀態變數;以u表示磷從流水中帶進系統的速率,稱為輸入量;分別以y1和y2表示磷從水中流失和草食動物帶出系統的速率,稱為輸出量。系統內部磷的變化關係見圖2。
考慮每個狀態變數的變化,得到描述該系統的方程,稱為狀態方程:(圖八)其中Ci(i=1,2,…,6)是一組參數。當參數值、輸入、輸出以及初始狀態給定以後,物質磷在系統中的變化可由方程完全確定。對方程進行分析或者利用電腦求解,就可以認識磷在系統中變化的規律。
實際情況遠比這個虛構的例子複雜。一個系統可以是多輸入、多輸出,狀態變數的個數可大到幾十,甚至上百,它顯示生命活動異常複雜的情形。
可控系統的最優控制是控制理論的中心問題。所謂最優控制,就是從實際需要出發設計適當的性能指標,在一定的約束條件下選取輸入u(t),使性能指標取最小值。尋求生物系統最優控制的方法常常採用龐特里雅金最小值原理和貝爾曼的動態規劃,有關農業、林業、醫學和環境問題的最優控制可望獲得解決。
機率與統計方法
機率與統計方法的套用還表現在隨機數學模型的研究中。原來數學模型可分為確定模型和隨機模型兩大類。如果模型中的變數由模型完全確定。
生物數學這裡舉出一種離散的隨機數學模型,稱為馬爾科夫鏈。考慮具有兩個等位基因A與α的群體,如果相應的基因頻率分別是p和q,三種基因型AA,Aa和aa在群體中的分配比率構成向量【PHQ】(P+H+Q=1)。在
一定的假設條件下,按馬爾科夫鏈的數學模型,描述該群本隨機交配的遺傳過程。經過第一代隨機交配,基因型分配比率將從向量【PHQ】轉變為(圖九) 等式左邊的矩陣是轉移矩陣,不難驗證該馬爾科夫鏈是正則的,不動點向量就是【p22pqq2】。 這個結果說明基因頻率的不變性,也就是群體遺傳學中的哈迪-魏因貝格定律:隨機交配的群體在沒有外界遷入、定向選擇、基因突變和遺傳漂變的條件下,基因頻率保持不變。
馬爾科夫鏈數學模型不僅對遺傳學重要,如果使狀態變數代表不同的意義,它還能適用於更廣泛的生物學問題,如生態、環境和醫學等。下面是一個流行病學的例子。討論某地區某種傳染病的流行,分4個狀態:敏感者、患病者、免疫者和死亡。建立的馬爾科夫鏈數學模型可以由轉移圖的形式表示(圖3)。這是一個吸收馬爾科夫鏈,利用這個模型可以分析疾病流行的規律。
不連續數學方法
生物數學不連續性是一切物質存在的基本屬性。首先物質和能量兩個最基本的概念是不連續的;再看生命現象,物種、個體、細胞、基因等等都是生命活動不連續的最小單位,不連續性表現尤其突出。因此,不連續的數學方法在生物數學中占有重要地位。再舉單一種群增長的生態模型討論。若考慮個體生活年齡,按年齡單
位將個體分屬於不同年齡組。令Nit代表在時刻t,年齡為i的個體數;Pi表示年齡在i能活到i+1的存活率;Fi表示年齡在i的增殖率。則新增殖的個體數(圖十),其中m代表該群體年齡可能達到的上界。於是種群變化的規律可以用下面的矩陣運算表示,(圖十
一) 這就是著名的萊斯利模型。這個模型是離散的,它不僅表示種群增長的速度,而且還顯示出年齡分布狀況,從年齡分布的結構上展示整個種群變化的規律。因而遠遠勝過前面所舉單一種群增長連續模型。
描述生命現象的離散模型有兩態和多態之分。馬爾科夫鏈和萊斯利模型都屬於多態;兩態的模型應生物學的二元表現狀態而產生。如神經興奮沿著神經細胞的軸突,經過突觸在閥的控制下傳給另一個神經細胞,興奮波的通過與否就是一個二元表現狀態。1943年W.S.麥卡洛克和W.皮茨在布爾代數的基礎上,首次給出描述神經傳遞現象的離散模型。此模型不斷改進,並藉助電腦加以實現,已做到模擬許多較複雜的神經功能,成為探索人類大腦思維奧秘的一個重要手段(見人工智慧)。
不連續數學方法還表現在對連續方法的補充。微積分學的基本理論指出,函式的可微性蘊涵著連續性。因此以微分運算為基礎的數學模型都是連續的。這些模型只能適用於連續變化範圍,對於連續函式出現不連續點或奇點(包括導函式不連續點)情形,將無能為力。而恰恰在這些破壞了連續性的區域,卻常常是生物學需要研究的課題。
60年代末,法國數學家R.托姆從拓撲學提出一種幾何模型,能夠描繪多維不連續現象,他的理論稱為突變論。
繼R.托姆之後,躍變論不斷地發展。例如E.C.塞曼又提出初級波和二級波的新理論。
上述各種生物數學方法的套用,對生物學產生重大影響。20世紀50年代以來,生物學突飛猛進地發展,多種學科向生物學滲透,從不同角度展現生命物質運動的矛盾,數學以定量的形式把這些矛盾的實質體現出來。從而能夠使用數學工具進行分析;能夠輸入電腦進行精確的運算;還能把來自各方面的因素聯繫在一起,通過綜合分析闡明生命活動的機制。生物數學在農業、林業、醫學、環境科學、社會科學和人口控制等方面的套用,已經成為人類從事生產實踐的手段。
當今的生物數學仍處於探索和發展階段。生物數學的許多方法和理論還很不完善,它的套用雖然取得某些成功,但仍是低水平的、粗略的、甚至是勉強的。許多更複雜的生物學問題至今未能找到相應的數學方法進行研究。因此,生物數學還要從生物學的需要和特點,探求新方法、新手段和新的理論體系,還有待發展和完善。

