概念說明
不同植物的生態位如每一種生物占有各自的空間,在群落中具有各自的功能和營養位置,以及在溫度、濕度、土壤等環境變化梯度中所居的地位。一個種的生態位,是按其食物和生境來確定的。如海星(pisaster ochraceus)在北美洲太平洋沿岸居於主要捕食者的龕位。按競爭排斥原理,任何兩個種一般不能處於
生態位同一生態龕。在特定生態環境中贏得競爭的勝利者,是能夠最有效地利用食物資源和生存空間的種,其種群以出生率高、死亡率低而有較快的增長。有著相似食物或空間要求的數群近緣種,因處不同生態位,彼此並不競爭。麥克阿瑟(R.H. MacArthur)的研究發現,北美洲東北部有5種鳴禽在針葉林里一起生活,都屬於林鶯屬(Den-droica),均以昆蟲為食,對營巢地點也有相似要求,但每一種鳴禽在取食和營巢行為上顯示了複雜的差別和各自占據的生態位,至少在食物豐富時防止了競爭。
兩個擁有相似功能生態位、但分布於不同地理區域的生物,在一定程度上可稱為生態等值生物。生態位的概念已在多方面使用,最常見的是與資源利用譜(resources utilization spectra)概念等同,所謂“生態位寬度”(niche breath)是指被一個生物所利用的各種不同資源的總和。在沒有任何競爭或其它敵害情況下,被利用的整組資源稱為“原始”生態位(fundamnental niche)。因種間競爭,一種生物不可能利用其全部原始生態位,所占據的只是現實生態位(realizedniche)。生態位概念套用於植物尚有一定困難。幾乎一切植物都需要陽光進行光合作用,而且在陸地上傾向於占有環境的相同部分——土壤表面上下一定高度和深度。然而,植物種在自然環境水平地帶和垂直地帶中占據的區域以及在生長季節、開花季節等方面出現的差異,可與動物的生態位相比擬。
概述
生態位是生物和環境長期相互作用而逐漸分化產生的。所謂生態位,就是生物種在生態系統中的功能和地位的總稱。生態位又稱為生態龕,對其含義有不同的理解,Grine於1971年定義生態位為一個種或亞種所占據的基本單位,指的是空間生態位。後來,Elton定義生態位為有機體在群落中的功能作用和地位,指的是營養生態位。此外,Hutchinson對生態位的定義是位於溫濕度、pH等n維資源空間中的超體積,指的是超體積生態位。E.P.Odum在總結前人對生態位解釋的基礎上,指出生態位不僅包括生物占有的物理空間,還包括它在群落中的功能作用和地位,以及它們在溫度、濕度、pH、土壤和其他生存條件的環境變化梯度中的位置。當我們從數量上了解生態位時,則需區分三種情況:其一是基礎生態位,也稱潛在生態位,即是指一種生物當不受其他生物競爭限制時所能占據的最大生態位;其二是現實生態位,即是指有其他生物限制的情況下,即出現生態位重疊情況時,一種生物所占據的生態位;其三是空閒生態位,即是指環境資源中未被占據的位置。這種空閒可能為後來入侵的生物種所利用,從而提高對資源的利用。
根據生態位原理,對某些空閒或功能效益較差(常表現為物質循環、能量流動、價值轉換等十分脆弱或受阻)的生態位,可通過配套引進新物種,以採取措施強化或充實空閒生態位,提高資源利用率,改善生態系統的結構和功能。根據充實生態位原理,進行高效生產模式設計時,要從整體設計入手,對於不符合整體設計要求的現實生態位或生產項目,通過逐步改進,以達到整體設計要求。種植中可考慮從不同高度和土層深度多層次利用土壤養分和空間;養殖業則通過利用腐生動物或微生物發酵,以充分利用牲畜糞便等空間生態位;水域生產或以考慮從不同水域深度和營養食性角度,組配出由水生植物、水生動物、浮游生物乃至微生物構成的複合生物群落,提高資源利用率。
概念演變
生態位模型1957年,G.E.哈欽森建議用數學語言、用抽象空間來描繪生態位。例如,一個物種只能在一定的溫度、濕度範圍內生活,攝取食物的大小也常有一定限度,如果把溫度、濕度和食物大小3個因子作為參數,這個物種的生態位就可以描繪在一個三維空間內;如果再添加其他生態因子,就得增加坐標軸,改三維空間為多維空間,所劃定的多維體就可以看作生態位的抽象描繪,他稱之為基本生態位。但在自然界中,因為各物種相互競爭,每一物種只能占據基本生態位的一部分,他稱這部分為實際生態位。
後來R.H.惠特克等人建議:在生態位多維體的每一點上,還可累加一個表示物種反應的數量,如種群密度、資源利用情況等。於是,可以想像在多維體空間內瀰漫著一片雲霧,其各點的濃淡表示累加的數量,這樣就進一步描繪了多維體內各點的情況。此外再增加一個時間軸,還可以把瞬時生態位轉變為連續生態位,使不同時間內採用相同資源的兩物種,在同一多維空間中各占不同的多維體;如果進一步把競爭的其他物種都納入多維空間坐標系統,所得結果便相當於哈欽森的實際生態位。
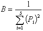
計算公式
生態位寬度
用多維空間描述生態位有助於概念的精確化。但實際工作中只能對少數幾個,通常只是一兩個生態因子作定量分析。生態位寬度是就一個生態因子軸而言的。這方面實驗較多的是動物的競爭取食,以食物種類或體積大小為變數。設某物種在s種食物資源中取食,取每種食物的個體數分別為N1…Ni…Ns,則


簡單舉例:設定裝有不同食物的食槽s個,使一種動物取食,統計每槽取食的個體數。一種極端情況是,每槽個體數相等,表明該物種在所測範圍內占有最寬的生態位,此時B值最大;另一種極端情況是,所有個體都在同一食槽取食,表明該物種在所測範圍內占有最窄的生態位,此時B值最小。自然,這裡測的是種群的綜合效果。各個個體取食範圍可能都很廣(稱泛化取食者),也可能都很窄(稱特化取食者),但可因各特化取食者分別採取不同食物,所以它們的綜合效果仍很廣。但絕大多數情況介乎兩者之間。
一般說來,當主要食物缺乏時,動物會擴大取食種類,食性趨向泛化,生態位加寬;當食物豐富時,取食種類又可能縮小,食性趨向特化,生態位變窄。
生態位重疊
生態位生物群落中,多個物種取食相同食物的現象就是生態位重疊的一種表現,由此造成物種間的競爭,而食物缺乏時競爭加劇。R.萊文斯採用沃爾泰拉種群競爭公式中的競爭係數α表示重疊程度(見種群動態模型),用公式:

(見圖)。 生態位重疊與物種競爭密切相關,因此生態位概念是競爭排除原理的重要根據。
企業生態位
企業生態位在生態學中,生態位是指在生態系統和群落中,一個物種與其他物種相關聯的特定時間位置、空間位置和功能地位。生態位這一概念既表示生存空間的特性,也包括生活在其中的生物的特性,如能量來源、活動時間、行為以及種間關係等。生態位概念不僅指生存空間,它主要強調生物有機體本身在其群落中的機能作用和地位,特別是與其他物種的營養關係。因此,在自然界中,親緣關係密切、生活需求與習性非常接近的物種,通常分布在不同的地理區域、或在同一地區的不同棲息地中、或者採用其他生活方式以避免競爭,如晝夜或季節活動上的區別、食性的區別等。
生物在形成自身生態位的過程中遵循下述原則:趨適原則、競爭原則、開拓原則和平衡原則。趨適原則是指生物出於本能需要而尋求良好的生態位,這種趨適行為的結果導致生物所需資源的流動。競爭原則發生於不同生物之間對資源和環境因子的競爭。開拓原則是指生物不斷開拓和占領一切可以利用的空餘生態位。平衡原則是指作為一個開放的生物生態系統,總是向著盡力減小生態位勢(競爭所導致的理想生態位與現實生態位之間的差距)的方向演替,因為一個生態位勢過大的系統是一種不穩定的系統。上述的趨適和競爭原則解釋了生物競爭行為的根源,開拓原則說明了生物可以主動的去改變自身狀況,而平衡原則則說明每個生物在整個生態系統中都會找到一個最適宜生存的生態位,這就要求生物通過最恰當的競爭策略去尋找自身最恰當的生態位。
企業競爭與生態位選擇
企業界的情況與生物界十分類似,不同的企業也都有自己的“生態位”。許多規模和實力都很弱小的中小型企業也可以與那些可謂龐然大物的巨型企業在市場中共同生存和發展,其根本原因就在於它們擁有不同的生態位。
自然界中每個物種在進化過程中經過自然選擇,形成特定的形態和功能,在生態空間中占有特定的生態位,形成生命系統的多樣性。在自然生態系統中,只有生態位重疊的生命系統才會產生爭奪生態位的競爭,競爭是爭奪最適宜生存的生態區域。自然物種的生態位實際上是物種能獲得和利用的生態資源空間,生態位越寬,物種的適應性越強,可利用的資源越多,物種的競爭力越強。
企業與自然生命系統不同,自然生命系統之間的競爭是在現有資源空間中爭奪生存資源的競爭,自然生命不能創造其自身需要的資源空間,而企業一般來說在他的生命過程中沒有特定的形態,他不但可以發展為經營任何行業與產品,並且可以創造出他生存所需的生存空間。因此,企業競爭生態位選擇表現為在現有生態空間中的生態位選擇和生態空間創新選擇。
基於生態位原理的企業競爭策略
1、錯位經營策略
錯位經營是指企業根據自身的資源組合和利用效率,選擇區別於競爭對手的發展重點進行生產和經營。企業在經營過程中,應該像生態位分離原理所昭示的那樣,彼此錯落有致,形成錯位經營,默契地相互依存,相輔相成,從而避免價格戰、產品戰和廣告戰,尋求共同的發展。
企業錯位經營的主要內容有:(1)經營時間上的錯位:企業在經營過程中應該像老鷹、貓頭鷹實行白天和黑夜的時間錯位。(2)經營空間上的錯位:所有的商業、企業不一定都往繁華的市中心鑽,應該像沼澤地中的藥類那樣,各自選擇有利於自己發展的生存空間。(3)經營功能上的錯位:包括經營規模、經營檔次、經營業態、經營類別上的錯位。所有的企業要根據當地購買力的不同情況,採取多種經營業態結合的合理布局,各自選擇好自己的生態位,各就各位避開過度的殘酷競爭。
2、生態位拓展策略
企業在發展的過程中,必須對自己的生態位進行控制和最佳化,以適應和改造生態環境。生態位控制包括兩個方面的內容:拓展生態位和調整生態位。一個企業成功的發展必須善於拓展生態位和調整生態位,以改造和適應環境。只開拓不適應缺乏發展的穩度和柔度;只適應不開拓缺乏發展的速度和力度。企業在成長的過程中,對生態位的拓展速度要掌握好,避免過快,使企業發展失去連續性,在競爭中失敗。
3、虛擬生態位策略
企業生態資源狀況對企業生態位具有決定意義,隨著人類社會由工業社會邁向信息社會,企業生態資源概念的外延、內涵及其企業對生態資源的占有方式正在發生深刻的變化。在信息社會,知識將作為占主導地位的資源和生產要素而存在,企業之間的競爭主要不是自然資源和其它有形的資本的競爭,而是擁有知識和技術多少的競爭、知識創新的競爭。信息社會競爭的加劇和環境變化的加快,使得企業無法單純依靠自己生態資源來滿足市場的需要。虛擬生態位和生態資源的共享為企業的發展拓展了生態空間,虛擬生態位的實質是發揮自身優勢,對外部資源和力量進行有效整合,拓展自己的生態資源,達到降低成本、提高競爭力的目的。所以,企業要善於利用和建立虛擬生態位,以豐富自己的生態資源,改善生存、競爭環境,從而占據有利的生態位。巨大的全球網路、信息的光速流動使得企業生態資源的共享簡單而便捷。
海洋學相關知識(六)
| 海洋科學是研究海洋的自然現象、性質及其變化規律,以及與開發利用海洋有關的知識體系。下面讓我們來完善與海洋學相關的詞條,以此來更加深入的了解海洋學的相關知識。 |
