物價指數
物從指數物價總指數用來說明全部商品價格的變動,特定物價指數用來說明一種商品的價格變動。在統計分析中,物價指數通常指物價總指數。
中國物價指數由國家統計局統計公布。
中國物價指數
商品零售價格指數
反映城鄉商品零售價格變動趨勢的一種經濟指數。零售物價的調整變動直接影響到城鄉居民的生活支出和國家的財政收入,影響居民購買力和市場供需平衡,影響消費與積累的比例。因此,計算零售價格指數,可以從一個側面對上述經濟活動進行觀察和分析。
03-07居民消費價格增長反映一定時期內城鄉居民所購買的生活消費品價格和服務項目價格變動趨勢和程度的相對數,是對城市居民消費價格指數和農村居民消費價格指數進行綜合匯總計算的結果。利用居民消費價格指數,可以觀察和分析消費品的零售價格和服務價格變動對城鄉居民實際生活費支出的影響程度。
城市居民消費價格指數
反映城市居民家庭所購買的生活消費品價格和服務項目價格變動趨勢和程度的相對數。城市居民消費價格指數可以觀察和分析消費品的零售價格和服務項目價格變動對職工貨幣工資的影響,作為研究職工生活和確定工資政策的依據。
農村居民消費價格指數
反映農村居民家庭所購買的生活消費品價格和服務項目價格變動趨勢和程度的相對數。農村居民消費價格指數可以觀察農村消費品的零售價格和服務項目價格變動對農村居民生活消費支出的影響,直接反映農民生活水平的實際變化情況,為分析和研究農村居民生活問題提供依據。
農產品指數反映國有商業、集體商業、個體商業、外貿部門、國家機關、社會團體等各種經濟類型的商業企業和有關部門收購農產品價格的變動趨勢和程度的相對數。農產品收購價格指數可以觀察和研究農產品收購價格總水平的變化情況,以及對農民貨幣收入的影響,作為制訂和檢查農產品價格政策的依據。
農村工業品零售價格指數
反映農村市場工業品零售價格水平變動趨勢和程度的相對數。通過農村工業品零售價格指數,可以觀察工業品零售價格變動對農民貨幣支出的影響。
固定資產投資總額反映全部工業產品出廠價格總水平的變動趨勢和程度的相對數,包括工業企業售給本企業以外所有單位的各種產品和直接售給居民用於生活消費的產品。通過工業品出廠價格指數能觀察出廠價格變動對工業總產值的影響。
固定資產投資價格指數
反映固定資產投資額價格變動趨勢和程度的相對數。固定資產投資額是由建築安裝工程投資完成額、設備、工器具購置投資完成額和其他費用投資完成額三部分組成的。編制固定資產投資價格指數應首先分別編制上述三部分投資的價格指數,然後採用加權算術平均法求出固定資產投資價格總指數。
編制固定資產投資價格指數可以準確地反映固定資產投資中涉及的各類商品和取費項目價格變動趨勢和變動幅度,消除按現價計算的固定資產投資指標中的價格變動因素,真實地反映固定資產投資的規模、速度、結構和效益,為國家科學地制定、檢查固定資產投資計畫並提高巨觀調控水平,為完善國民經濟核算體系提供科學的、可靠的依據。
基本計算
物價指數在計算方法上,單項商品的物價指數,用報告期和基期的實際平均價格計算。多種商品的物價總(組)指數,一般是以報告期的商品銷售(或收購)數量為同度量因素(見統計指數)來計算。物價總指數
的算式為: 
代表各種商品報告期的銷售(或收購)數量;p1、p0分別代表每種商品報告期和基期的平均價格,多數情況是選用各種商品中有代表性的價格。上式簡稱物價指數的綜合公式。在實際工作中,還可根據資料情況採用一些簡化的變通辦法。 (1)用加權倒數(調和)平均公式計算物價總指數。在有各種商品的銷售(或收購)額資料而無商品銷售(或收購)量資料時採用,如農副產品收購價格總指數等。其算式為:

式中,k=p1÷p0為單項商品價格指數(或各地區物價指數)。
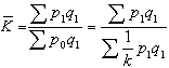
(2)用加權算術平均公式計算物價總指數。其算式為:

(3)在先編制商品銷售(或收購)量指數的特殊條件下,物價總指數也可用從商品銷售(或收購)額指數中扣除商品數量變動因素的辦法求得。通常稱之為指數體系法。其算式為:

中國工業品出廠價格指數即採用指數體系法計算。
2008年物價指數預測
CPI不斷上漲國家信息中心經濟預測部巨觀經濟處處長張永軍說:“我們對2008年物價指數可能為4.5的預測沒有改變。儘管有美國經濟衰退和國內勞動力成本上升等新因素,我們都已經考慮在內。”
專家認為,2008年影響物價的因素主要包括:
國內經濟增速可能減緩、豬肉產量增加、美國經濟有所衰退、國際油價糧價高位運行、中國勞動力成本提高等。其中經濟放緩、豬肉增產,對物價都有壓製作用;美國經濟衰退將導致中國出口減少,從而減少總需求,對物價也有壓製作用。目前各國專家普遍預計2008年國際油價將在每桶86美元左右趨穩,較100美元的高點有所回落,也將減輕中國物價上漲壓力。油價穩定,也將減少乙醇汽油需求。進而減少替代能源對糧食的需求,對國際糧價有穩定作用。(圖示出)因此總的看,2008年物價可能呈現前高后低的回落走勢。
社科院日前預測,2007年CPI(消費價格指數)將上漲4.5%,遠高於年初政府制定的3%的目標。2008年CPI維持4%左右的漲幅也並非不可能。國家統計局局長謝伏瞻則相對較為樂觀,去年12月22日,他一方面坦承CPI月度同比漲幅在6%左右可能要持續一段時間,預計2007年全年CPI漲幅可能在4.5%~4.6%,另一方面又表示,當前物價總體上屬於溫和通脹,且仍處於可承受區間。
發改委經濟研究所經濟運行與發展研究室主任王小廣預測,2007全年CPI將增長4.3%,但仍處於可控範圍,而2008年物價繼續加速上升的可能性較小,經濟成長與通脹的組合仍然是“高增長低通脹”,今年價格調控的重點是房價而不是物價。
摩根史坦利中國首席經濟分析師王慶也表示中國CPI 漲幅將從2007年的4.5%降低到2008年的4.0%。
一些國際投行卻調高了對2008年物價上漲水平的預測。高盛中國首席經濟學家梁紅把對2008 年CPI漲幅的預測從之前的4%上調至 4.5%,“這些預測的假設是政府出台嚴格的政策調控措施而且以美國為首的外需增長小幅放緩。”花旗銀行方面近日也判斷稱:雖然中國2008年肉價可能會下行,但農產品價格還會較高,而能源價格改革、強勁的消費也都會繼續推動2008年的通脹水平。北京大學中國經濟研究中心主任林毅夫也認為,由於居民收入增長較快,國家要啟動內需,今年通脹率可能在5%左右。
世界經濟
| 中國的影響力已經可以帶動世界經濟的發展,讓我們了解自己,認識世界。 |
