什麼是出口物價指數
出口物價指數是指反映各時期出口貨物價格變動情況的指數。既可以編制個體的或類的出口物價指數,也可以編制出口物價總指數。
出口物價指數的計算方法
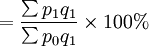
編制類的和總的出口物價指數的公式為:
出口物價指數出口物價指數
式中:∑為總計的符號,p1為報告期出口某種貨物單位平均離岸價格,p0為基期出口某種貨物單位平均離岸價格,q1為報告期出口某種貨物的量。出口某種貨物單位平均離岸價格,是出口該種貨物離岸價格總金額,除以出口該種貨物的總量之商。

出口物價指數(price exports)出口物價指數是指反映各時期出口貨物價格變動情況的指數。 編制類的和總的出口物價指數的公式為:出口物價指數
出口物價指數是指反映各時期出口貨物價格變動情況的指數。既可以編制個體的或類的出口物價指數,也可以編制出口物價總指數。
編制類的和總的出口物價指數的公式為:
出口物價指數台灣當局編制的台灣地區各種價格指數的統稱。其種類較多,主要的有下面兩種:①台灣地區零售物價指數。反映一般零售物價水平變動情況的指數。進行資產重估及決定賦...
台灣物價指數 正文 配圖 相關連線出口價格指數又稱出口物價指數,表示在給定的時段里,一組商品的平均價格如何變化的一種指數。在計算平均數時,不同商品的價格一般要根據其經濟重要性作加權處理。
而波動。由於進口商品價格不斷上漲,出口商品價格未動,致使出口商品價格相對...以國際市場白銀價格的變化為轉移。這期間,上海批發物價指數的趨勢可分成4個階段:1.民國16~18年,上海物價比較穩定。批發物價指數為:民國16年漲...
序 凡例 總述)通貨膨脹當物價指數上升時,就意味著通貨膨脹的加劇。通漲的到來會影響一切投資...
簡介 股票基本面分析 黃金的基本分析 分析常用公式 重要因素物價指數總體趨勢走高,出口政策激勵和本國經濟刺激也要求一個適度...兩類。非貨幣性項目不會發生購買力損益,但需要用一般物價指數調整。相反...期末一般物價指數除以期初一般物價指數。重新表示期末一般物價指數除以期內一般...
概念 計算方法 產生原因 相關影響上漲。總需求包括消費需求、投資需求、政府支出和淨出口。 二是供給推動...和國民經濟的協調發展。 什麼是物價總指數 物價總指數亦稱一般物價指數、綜合物價指數是反映全部商品價格平均變動的物價指數。 物價總指數的意義...
拼音 英文 簡介 物價 物價上漲平穩的增長幅度。增幅較2005年同期有顯著回落。 2006年,我國出口和...,但2006年以來呈現出逐月上升的勢頭。廣東省的出口數量是位居出口數量第二名的浙江省的3.07倍,其中針織服裝出口數量是浙江省出口數量的3.94倍...
08年服裝企業商機無限 服裝行業經濟運行情況 國內服裝市場銷售情況 服裝進出口情況等出口作物,以賺取更多的外匯,同時也可減少對咖啡、可可等傳統出口作物的過分...現代化的商業性農場,以生產大豆、甘蔗、咖啡、可可等出口農產品為主。另一方面.../5。大豆及其加工品的出口成了巴西重要的外匯來源,近年來平均為國家獲得近...
概況 農作物 發展 種類 對外貿易進出口貿易:進出口商品總額(增速),出口,進口商品總額(增速),貿易順差額。2. 主要商品出口數量3. 進口數量4. 出口金額5. 進口金額原油...,高新技術產品,合成有機染料,活家禽,活豬(種豬除外),家具及其零件出口,家用陶瓷...
工業數據 固定投資 對外經貿 實用外資 國內貿易