農副產品收購價格總指數
正文
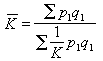
反映企業、國營商業、供銷合作社商業、個體商業及各有關部門,以各種不同價格形式向農民收購農副產品的價格變動程度的相對數指標。中國的農副產品收購價格包括農、林、牧、副、漁各業產品價格,其形式有國家定價、國家指導價和市場調節價等。中國編制的農副產品收購價格總指數分為糧食、經濟作物、竹木材、工業用油漆、禽畜產品、蠶繭蠶絲、乾鮮果、乾鮮菜及調味品、藥材、土副產品、水產品等11個大類,每個大類又分若干小類,小類之下再分商品集團與代表規格品。各地尚可根據實際情況,適當增加一些收購量較大的產品,減去沒有生產或產量收購量很少、沒有代表性的產品,以確保當地商品調查樣本的代表性。對規格等級多變的商品,必須調查兩個以上規格等級的收購價格。各省(區、市)根據各調查縣的資料整理出不同形式的平均收購價格和全社會綜合平均價格,按季度、半年度和年度編制農副產品收購價格總指數,全國指數根據各省(區、市)指數匯總求得,採用加權調和平均數公式計算,即:

農副產品收購價格總指數的分子與分母之差表明農副產品收購價格變動對農民貨幣收入的影響,分子大於分母表示收入增加,反之則為減少。
