定義
面積元素dA與其至z軸或y軸距離平方的乘積y dA或z dA,分別稱為該面積元素對於z軸或y軸的慣性矩或截面二次軸矩。慣性矩的數值恆大於零
慣性矩
慣性矩對Z軸的慣性矩:
慣性矩對Y軸的慣性矩:
截面對任意一對互相垂直軸的慣性矩之和,等於截面對該二軸交點的極慣性矩。
慣性矩極慣性矩常用計算公式:
慣性矩矩形對於中線(垂直於h邊的中軸線)的慣性矩:
慣性矩三角形:
慣性矩圓形對於坐標軸的慣性矩:
慣性矩圓形對於圓心的慣性矩:
慣性矩
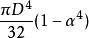
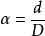
慣性矩環形對於圓心的慣性矩: ,
需要明確因為坐標系不同計算公式也不盡相同。
結構構件慣性矩Ix
結構設計和計算過程中,構件慣性矩Ix為截面各微元面積與各微元至與X軸線平行或重合的中和軸距離二次方乘積的積分。主要用來計算彎矩作用下繞X軸的截面抗彎剛度。
結構構件慣性矩Iy
結構設計和計算過程中,構件慣性矩Iy為截面各微元面積與各微元至與Y軸線平行或重合的中和軸距離二次方乘積的積分。主要用來計算彎矩作用下繞Y軸的截面抗彎剛度。
靜矩
慣性矩靜矩(面積X面內軸一次)把微元面積與各微元至截面上指定軸線距離乘積的積分稱為截面的對指定軸的靜矩Sx=∫ydA。
靜矩就是面積矩,是構件的一個重要的截面特性,是截面或截面上某一部分的面積乘以此面積的形心到整個截面的型心軸之間的距離得來的,是用來計算應力的。
注意:
慣性矩是乘以距離的二次方,靜矩是乘以距離的一次方,慣性矩和面積矩(靜矩)是有區別的。
分類
截面慣性矩
截面慣性矩(I=截面面積X截面軸向長度的二次方)
截面慣性矩:the area moment of inertia
characterized an object's ability to resist bending and is required to calculate displacement.
截面各微元面積與各微元至截面某一指定軸線距離二次方乘積的積分Ix= y^2dF.
截面極慣性矩
截面極慣性矩(Ip=面積X垂直軸二次)。
扭轉慣性矩Ip: the torsional moment of inertia
極慣性矩:the polar moment of inertia
截面各微元面積與各微元至某一指定截面距離二次方乘積的積分Iρ= ρ^2dF。
a quantity to predict an object's ability to resist torsion, to calculate the angular displacement of an object subjected to a torque.
主慣性矩
慣性積等於零的一對正交坐標軸稱為主慣性軸。圖形對於主慣性軸的慣性矩為主慣性矩。
當一對主慣性軸的交點和截面的形心重合時,則這對軸為形心主慣性軸。圖形對於形心主慣性軸的慣性矩為形心主慣性矩。
相互關係
截面慣性矩和極慣性矩的關係。
截面對任意一對互相垂直軸的慣性矩之和,等於截面對該二軸交點的極慣性矩Ip=Iy+Iz。
平行移軸定理
慣性矩
慣性矩
慣性矩其中 I, I是截面對坐標軸的慣性矩,I是截面對坐標軸的慣性積;I, I是截面對形心軸的慣性矩,I是截面對形心軸的慣性積;a,b分別指的是形心距y軸、z軸的距離;A指的是截面面積。

