調和平均數
調和平均數是各個變數值(標誌值)倒數的算術平均數的倒數,故也稱倒數平均數。
根據資料的不同,調和平均數可分為簡單調和平均數和加權調和平均數兩種。
(1)簡單調和平均數
使用於未分組資料的計算,其計算公式為:
平均數=n/(1/X1+1/X2+……+1/Xn)=n/∑1/Xi
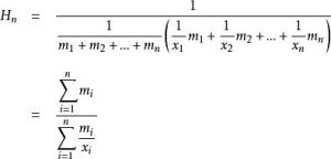
(2)加權調和平均數
適用於分組資料的計算,其計算公式為:
平均數=(M1+M2+…+Mn)/(M1/X1+M2/X2+…+Mn/Xn)=∑Mi/∑(Mi/Xi)
具體計算方法如下:
(1)先計算出各個變數值的倒數,即1/X;
(2)計算上述各個變數值倒數的算術平均數,即[∑(1/X)]/n;
(3)再計算這種算術平均數的倒數,即n/[∑(1/X)],就是調和平均數。

