調和平均數

調和平均數

調和平均數又稱倒數平均數,是各變數值倒數的算術平均數的倒數。調和平均數(Harmonic Average)又稱倒數平均數,是總體各統計變數倒數的算術平均數的倒數。調和平均數是平均數的一種。但統計調和平均數,與數學調和平均數不同,它是變數倒數的算術平均數的倒數。由於它是根據變數的倒數計算的,所以又稱倒數平均數。調和平均數也有簡單調和平均數和加權調和平均數兩種。在數學中調和平均數與算術平均數都是獨立的自成體系的。計算結果前者恆小於等於後者。因而數學調和平均數定義為:數值倒數的平均數的倒數。

英文

harmonic mean(為Arthur's Online Riddle - Stage 106的答案)

解釋

定義:調和平均數是總體各單位標誌值倒數的算術平均數的倒數,也稱倒數平均數
是平均數的一種。但統計調和平均數,與數學調和平均數不同。在數學中調和平均數與算術平均數都是獨立的自成體系的。計算結果前者恆小於等於後者。 因而數學調和平均數定義為:數值倒數的平均數的倒數。但統計加權調和平均數則與之不同,它是加權算術平均數的變形,附屬於算術平均數,不能單獨成立體系。且計算結果與加權算術平均數完全相等。 主要是用來解決在無法掌握總體單位數(頻數)的情況下,只有每組的變數值和相應的標誌總量,而需要求得平均數的情況下使用的一種數據方法。

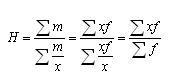
計算公式

缺點

根據定義可知待求平均值各數之倒數和=0或待求平均值各數有0時調和平均數求不出來;n個正數里只要有一個小於1且極接近0的,不論其餘n-1個數有多大,此n數調和平均數極接近0。

相關搜尋

熱門詞條

聯絡我們