分類
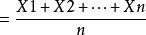
簡單算術平均
(1)適用:主要用於未分組的原始數據。設一組數據為X1,X2,...,Xn,簡單的算術平均數的計算公式為:
算術平均數(2)例:某銷售小組有5名銷售員,元旦一天的銷售額分別為520元、600元、480元、750元和500元,求該日平均銷售額。
平均銷售額=(520+600+480+750+500) / 5=570(元)
計算結果表明,元旦一天5名銷售員的平均營業額為570元。
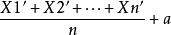
(3)拓展:一組數據x1.x2.x3 圍繞數a上下波動,為了求得算術平均.
首先,要將每個原數據分別減a,得到一組新數據記為x1' x2' .....xn'
X1'=X1-a X2'=X2-a ..... Xn'=Xn-a
即:X1=X1'+a X2=X2'+a .....Xn=Xn'+a
算術平均數然後,計算平均數己為式 (1)
算術平均數
算術平均數
算術平均數將,,....,..代入式 (1)
算術平均數得到:
算術平均數即算術平均數=+ a
算術平均數
算術平均數所以:=+ a
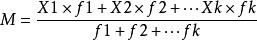
加權算術平均
適用:主要用於處理經分組整理的數據。設原始數據為被分成K組,各組的組中的值為X1,X2,...,Xk,各組的頻數分別為f1,f2,...,fk,加權算術平均數的計算公式為:
算術平均數特殊說明
1. 加權算術平均數同時受到兩個因素的影響,一個是各組數值的大小,另一個是各組分布頻數的多少。在數值不變的情況下,一組的頻數越多,該組的數值對平均數的作用就大,反之,越小。
頻數在加權算術平均數中起著權衡輕重的作用,這也是加權算術平均數“加權”的含義。
2. 算術平均數易受極端值的影響。例如有下列資料:5、7、5、4、6、7、8、5、4、7、8、6、20,全部資料的平均值是7.1,實際上大部分數據(有10個)不超過7,如果去掉20,則剩下的12個數的平均數為6。
由此可見,極端值的出現,會使平均數的真實性受到干擾。
特點
①算術平均數是一個良好的集中量數,具有反應靈敏、確定嚴密、簡明易解、計算簡單、適合進一步演算和較小受抽樣變化的影響等優點。
②算術平均數易受極端數據的影響,這是因為平均數反應靈敏,每個數據的或大或小的變化都會影響到最終結果。

