概念
在計算平均數時,如果被平均的標誌值比較大,那計算過程就可能非常繁雜,因此,有必要用簡捷計算方法。簡捷計算法的基本思路是將分配數列的標誌值同乘以一個常數,或同除以一個常數,求得數值比較簡化的新數列,再求得新變數的平均數,並根據平均數的數學性質,換算為原變數的平均數。這種變換稱為變數的線性變換,是平均數簡捷法最常用的方法。
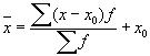
求證
設
假定平均數上式中的任意常數,稱為假定平均數。它可以選用被平均的各標誌值的中間數,或接近實際平均數的整數,使各標誌值減去這一假定平均數的差數較小,從而簡化了平均過程的數字計算。

