定義
算術平均數的值會受到極端值的影響。在很多情況下,我們需要消除極端值對平均數的影響,例如,在文藝或體育比賽中的評分要去掉若干個最高分和最低分,再計算剩餘數據的平均值,這樣計算得到的就是 截尾平均數。
截尾平均數
截尾平均數
截尾平均數
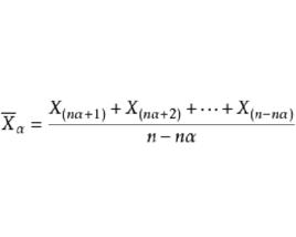
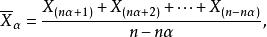
截尾平均數式中:表示 截尾係數,表示數據個數,表示去掉的數據個數。
截尾平均數表示將數據按升序排列後的順序序列 。
例題解析
例1 2011年中央電視台鋼琴、小提琴大賽的評分辦法為:比賽採用百分制,按評審序號現場亮分,每位選手的演奏得分去掉最低分、最高分後的平均值。下列數據是11位評審給某一小提琴選手的分數,按照此次大賽評分辦法,求這位選手的演奏得分。
截尾平均數解: 先將數據按升序排列,求出最高分和最低分。最高分為98.7,最低分為94.8。
截尾平均數
截尾平均數
截尾平均數由於,所以,將數據代入公式得,即這位選手的得分是97.025分 。
例2 12位評審對某作品的評價分值為(100分制):42 45 60 65 70 75 80 85 86 88 95 98。
若去掉兩個最高分和兩個最低分,則平均分值為
截尾平均數(分)
若將數據分為四等分,首尾各去掉一部分,則平均分值為
截尾平均數在組距頻率分布中的套用
組距頻數分布也可以計算截尾平均數,計算過程是:
截尾平均數
截尾平均數第一,確定第一個分位數和最後一個分位數。
截尾平均數
截尾平均數
截尾平均數
截尾平均數
截尾平均數
截尾平均數
截尾平均數
截尾平均數第二,假定分位數所在組的觀察值均勻變化,按比例確定第一個分位數到該組上限的觀察值頻數,與最後一個分位數到該組下限的觀察值頻數。具體做法是,用分位數與該組上限(對第一個分位數)或下限(對最後一個分位數)的距離除以分位數組的組距,再以得到的係數乘以分位數組的頻數即可。
截尾平均數
截尾平均數
截尾平均數
截尾平均數第三,重新以分位數作為分位數組的下限(對第一個分位數)或上限(對最後一個分位數),組成新的分組區間,編制新的頻數分布。
第四,按一般組距頻數分布計算平均數的方法,計算截尾算術平均數 。

