加權調和平均價格
正文
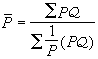
在不掌握商品購銷數量而只掌握商品的購銷金額時,以購銷金額為“名義權數”,用加權算術平均數的變形公式計算的平均價格。公式為:

加權調和平均價格是在不掌握商品購銷數量而只掌握商品的購銷金額時,以購銷金額為“名義權數”,用加權算術平均數的變形公式計算的平均價格。

加權調和平均指數是以報告期總量為權數對個體質量指標指數進行加權調和平均,據此計算的加權平均數指數等於質量指標綜合指數。綜合價格指數的一種。取得計算期和基...
加權調和平均價格指數 正文 配圖 相關連線平均價格是指在一定時期 (如年、季、月) 或一定地區 (如全國、省、市、縣) 內同一商品的價格的平均數。在我國的物價統計上,它是編制各種物價指數、計算各...
簡介 方法,1950年在各專區、市調查計算主要農產品平均價格。1953年底,省商業廳派員...(農產品收購)混合平均價格調查、主要商品價格調整情況綜合表以及工業品地區...)混合平均價格、農產品收購價格總指數、工農業商品綜合比價指數等13種定期編...
定義 物價調查統計 問題與趨向 數據實例 2008年9月6日山西運城收購牌價調整國內的成品油價格, 當三地成品油加權平均價格變動幅度超過4%時, 即...國際市場原油上月平均價格確定,每月一調。而汽油和柴油則實行國家指導價...變化。現行國家確定的成品油銷售中準價,是要在國際市場三地價格加權平均變動...
簡介 歷史因素 機制方案 機制擬定 機制特點《反通脹戰爭》 ——金融危機下的閱讀選擇 《反通脹戰爭》作者:倪金節出版社:海天出版社出版時間:2008-11-1ISBN:97...
作者簡介 內容簡介 名家推薦 全球通脹與次貸危機調查樣本的銷售收入作為權數通過加權調和平均公式計算,中類、大類和總指數是以上一年各類房屋的銷售額占全市房屋總銷售額的比重作為權數,採用加權算術平均...指數是以上一年某地區各類房屋的銷售額作為權數,採用加權算術平均的方法...
什麼是房屋銷售價格指數 房屋銷售價格指數的編制冰凍濃縮橙汁期貨成交均價,番茄醬出口均價為各種包裝番茄醬的出口加權平均價格...73.1%,平均價格6717.7元/噸,上漲23.3%。按美元計價,1-2月...78%,平均價格1489.1美元/噸,上漲14.5%。禁忌副作用空腹、急性...
市場 營養成分 生產製作 家常製法 食用指南橙汁期貨成交均價,番茄醬出口均價為各種包裝番茄醬的出口加權平均價格...(下同)增加40.4%;價值9188萬元人民幣,增長73.1%,平均價格...1.4萬噸,增加40.4%,價值1503萬美元,增長78%,平均價格...
市場價格 營養成分 生產製作 家常製法 烹飪技巧均價為各種包裝番茄醬的出口加權平均價格。出口情況2014年1-2月新疆...(下同)增加40.4%;價值9188萬元人民幣,增長73.1%,平均價格...%,平均價格1489.1美元/噸,上漲14.5%。禁忌與副作用空腹、急性...
營養成分 生產製作 家常製法 主要功效 食用指南