什麼是房屋銷售價格指數
房屋銷售價格指數是反映一定時期房屋銷售價格變動程度和趨勢的相對數,它是通過百分數的形式來反映房價在不同時期的漲跌幅度。包括商品房、公有房屋和私有房屋各大類房屋的銷售價格的變動情況。
房屋銷售價格指數的優點是“同質可比”,這種方法反映的是排除房屋質量、建築結構、地理位置、銷售結構因素影響之後,由於供求關係及成本波動等因素帶來的價格變動。
房屋銷售價格指數的編制
房屋銷售價格指數的分組指標包括商品房和二手房,兩個指標項下又按住宅和非住宅分組。
商品房細分為經濟適用房、普通住房、高檔公寓等各類住宅,以及商業用房、寫字樓等非住宅。在房屋銷售價格指數的計算中,小類指數是以報告期的銷售收入作為計算權數,大類指數和總指數是以上一年某地區各類房屋的銷售額作為權數,採用加權算術平均的方法計算出來的。
在房屋銷售價格指數的計算中,小類(含)以下指數是以報告期調查樣本的銷售收入作為權數通過加權調和平均公式計算,中類、大類和總指數是以上一年各類房屋的銷售額占全市房屋總銷售額的比重作為權數,採用加權算術平均法計算出來的。
據了解,目前反映北京商品住宅價格的核心指標有兩個,一是房屋銷售價格指數;二是北京市期房預售平均價格及其漲幅。
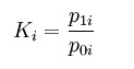
(1)計算細項價格指數。調查對象的個體價格指數計算公式為:
個體價格指數計算公式調查細項的價格指數計算公式為:
細項的價格指數計算公式其中,Ki為細項中第i個調查對象的個體指數;p1i和p0i分別為第i個調查對象的報告期和基期單價;K為細項指數;Wi代表權數,即細項中不同調查對象的報告期銷售額。
(2)計算小類價格指數。
小類價格指數計算公式其中,K為某小類指數,Ki為該小類下的細項指數;Wi為該小類下各細項的報告期銷售額。
(3)計算中類價格指數。在有小類的情況下,中類指數的計算方法同上。
(4)計算大類價格指數。
大類價格指數計算公式其中,K為某大類指數;Ki為該大類下某中類的價格指數;Wi為中類權數,即某中類上年的銷售額占全社會銷售額的比重。
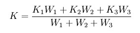
(5)計算房屋銷售價格總指數。在分別計算出商品房銷售、公房銷售和私房銷售類指數之後,即可計算出房屋銷售價格總指數。
房屋銷售價格總指數計算公式其中,K為房屋銷售價格總指數;K1、K2、K3為商品房銷售、公房銷售和私房銷售類指數;W1、W2、W3為權數,分別表示上年度商品房銷售、公房銷售和私房銷售的金額占全社會總金額的比重。
(6)計算房地產價格總指數。房地產價格總指數由房屋銷售價格指數、房屋租賃價格指數和土地交易價格指數加權平均所得。
房地產價格總指數計算公式其中:K為房地產價格總指數;K1、K2、K3為房屋銷售價格指數、房屋租賃價格指數和土地交易價格指數; W1、W2、W3為權數,分別表示上年度房屋銷售、房屋租賃和土地交易金額占全社會總金額的比重。
(7)年度房地產價格指數由季度指數算術平均求得。
