滴定終點誤差
滴定終點誤差
滴定終點誤差
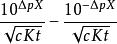
滴定終點誤差滴定終點誤差可用林邦誤差公式計算。 TE=()100,式中pX為滴定過程中的發生變化的與濃度及其相關的參數,如pX或pM,pX為終點pXep與計量點pXsp之差,Kt為滴定反應平衡常數,c與計量點時滴定產物的總濃度Csp有關,
滴定終點誤差是分析化學中由於指示劑的變色不恰好在化學計量點,而使滴定終點與化學計量點不相符合產生的相對誤差。
滴定終點誤差
滴定終點誤差
滴定終點誤差
滴定終點誤差滴定終點誤差可用林邦誤差公式計算。 TE=()100,式中pX為滴定過程中的發生變化的與濃度及其相關的參數,如pX或pM,pX為終點pXep與計量點pXsp之差,Kt為滴定反應平衡常數,c與計量點時滴定產物的總濃度Csp有關,
終點誤差(end point),也稱為滴定誤差。是指利用指示劑的變色來確定滴定終點與化學計量點不一致所而產生的誤差。
以絡合反應(形成配合物)反應為基礎的滴 定分析方法。 絡合反應廣泛地套用於分析化學的各種分離與測定中,如許多顯色劑,萃取劑,沉澱 劑,掩蔽劑等都是絡合劑...
簡介 簡單絡合物滴定分析法,是化學分析法的一種,將一種已知其準確濃度的試劑溶液(稱為標準溶液)滴加到被測物質的溶液中,直到化學反應完全時為止,然後根據所用試劑溶液的濃度...
概念解釋 原理 標準溶液 特點 儀器滴定誤差(titration error)又稱終點誤差(end point error)。滴定分析中,利用指示劑的變色來確定滴定終點,滴定終點與等當點不...
定義 來源 影響因素 誤差公式 研究意義滴定分析是將已知準確濃度的標準溶液滴加到被測物質的溶液中直至所加溶液物質的量按化學計量關係恰好反應完全,然後根據所加標準溶液的濃度和所消耗的體積,計算出...
基本術語 滴定分析法分類 反應要求和方式 溶液配製滴定分析中,當滴定至等當點時,往往沒有任何外觀效果可供判斷,常藉助於指示劑的顏色變化來確定終止滴定,此時指示劑的變色點,即為滴定終點。
滴定終點及相關概念 指示劑選擇,終點誤差越小。若金屬離子未發生副反應,則用 代替 計算.二、直接準確滴定金屬...點和自身的顏色,導致終點誤差變大,因此酸度對絡合滴定的影響是多方面的...的一系列絡合物,產物沒有固定的組成,從而難以確定反應的計量關係和滴定終點...
絡合劑 終點誤差 提高方法 方式套用 滴定方法酸鹼的滴定4.4 終點誤差4.4.1 強酸(鹼)滴定的終點誤差4.4.2 弱酸(鹼)滴定的終點誤差4.4.3 多元酸的終點誤差4.5 酸鹼栝準清定...思考題習題第3章 滴定分析概述3.1 滴定分析法簡介3.2 滴定分析法...
圖書信息 內容簡介 圖書目錄中分離方法的內容,並採用法定單位制。全書共十三章,包括緒論、滴定...; 為開闊學生的思路,介紹了諸如圖解法求溶液pH值及酸鹼滴定法的終點誤差...五、 計算及數據處理7第二章滴定分析法概述§1滴定分析法的分類...
內容簡介 圖書前言 圖書目錄