定義
測地曲率
測地曲率設 為 正則曲面M上的曲線,
測地曲率記
測地曲率
測地曲率並稱 為曲線 C在 P點處的 測地曲率。所以
測地曲率此外,還有
測地曲率
測地曲率
測地曲率
測地曲率
測地曲率它表明 是 或 在 上的投影。
相關性質定理
定理1
測地曲率
測地曲率
測地曲率中曲線C在P點的測地曲率向量 就是C在平面 上的投影曲線C*在P點的曲率向量。
測地曲率
測地曲率
測地曲率
測地曲率
測地曲率
測地曲率
測地曲率
測地曲率
測地曲率
測地曲率
測地曲率
測地曲率
測地曲率
測地曲率證明:將曲線C按法向 n垂直投影到切平面 ,得到切平面上的一條曲面C*,這時投影直線就組成了一個柱面 ,曲線C與C*都是柱面 上過P點的曲線,它們的切向量都是 T(因為C與C*都在柱面上,故它們的切向量都垂直於柱面的法向;另一方面,C在曲面M上,故它的切向量垂直M的法向量 n;而由C*在切平面 上,故C*的切向量也垂直M在P點的法向量 n,由此推得C與C*在P點的切向量相同,都為 T),因為 TX n為柱面的法向量以及 中向量 ,又因 ,故 , 平行於柱面 在P點的法向,於是, 可視作曲線C在P點關於柱面的法曲率向量,所以對柱面運用Meusnier定理後知, 也為曲線C*關於柱面 的法曲率向量,但C*又可視作柱面上過P點的相應於方向 T的法截線,易知, 就是C*在P點的曲率向量(圖1)。
圖1定理2
測地曲率
測地曲率
測地曲率
測地曲率(曲線C的曲率 的平方等於測地曲率 的平方與法曲率 的平方之和)。
定理3
測地曲率
測地曲率
測地曲率
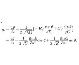
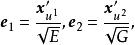
測地曲率(Liouville)設M為 中2維 正則曲面, 為其參數表示,並選 為正交的參數曲線網。令
測地曲率
測地曲率
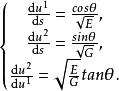
測地曲率它為 中的規範正交基,C為過P∈M的C2曲線,s為其弧長,單位切向量
測地曲率則C的測地曲率為
測地曲率
測地曲率
測地曲率
測地曲率這就是計算測地曲率 的Liouville公式。它只涉及E,F,G,所以 只與曲面M的第1基本形式有關,它是曲面的內蘊幾何量。
此外,還有
測地曲率
