函式介紹
泰勒中值定理
泰勒中值定理
泰勒中值定理
泰勒中值定理
泰勒中值定理
泰勒中值定理
泰勒中值定理
泰勒中值定理
泰勒中值定理
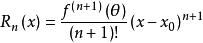
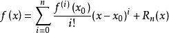
泰勒中值定理如果函式在含有的某個開區間內具有直到階的導數,且在閉區間上連續,則對任意的,至少存在一點介於與之間,使得階泰勒公式
泰勒中值定理成立,
泰勒中值定理
泰勒中值定理其中(拉格朗日型餘項)或(佩亞諾型餘項)。
泰勒中值定理當n=0時,即為拉格朗日中值定理;當時,稱為麥克勞林公式。
泰勒中值定理,是高等數學中的一項定理。
函式介紹
泰勒中值定理
泰勒中值定理
泰勒中值定理
泰勒中值定理
泰勒中值定理
泰勒中值定理
泰勒中值定理
泰勒中值定理
泰勒中值定理
泰勒中值定理如果函式在含有的某個開區間內具有直到階的導數,且在閉區間上連續,則對任意的,至少存在一點介於與之間,使得階泰勒公式
泰勒中值定理成立,
泰勒中值定理
泰勒中值定理其中(拉格朗日型餘項)或(佩亞諾型餘項)。
泰勒中值定理當n=0時,即為拉格朗日中值定理;當時,稱為麥克勞林公式。
柯西中值定理是拉格朗日中值定理的推廣,是微分學的基本定理之一。其幾何意義為,用參數方程表示的曲線上至少有一點,它的切線平行於兩端點所在的弦。該定理可以視...
人物簡介 定理定義 證明 幾何意義 套用例子中值定理是反映函式與導數之間聯繫的重要定理,也是微積分學的理論基礎,在許多方面它都有重要的作用,在進行一些公式推導與定理證明中都有很多套用。中值定理是由...
簡介 相關概念 套用 類別數學定理列表(按字母順序排列) 以下列出了許多數學定理,供查閱與引用。
《微積分中值定理若干問題》是由樊守芳編著的作品,於2011-7-1由黑龍江大學出版社有限責任公司出版。
內容簡介在數學中,泰勒公式是一個用函式在某點的信息描述其附近取值的公式。如果函式足夠光滑的話,在已知函式在某一點的各階導數值的情況之下,泰勒公式可以用這些導數值...
簡介 公式定義 證明 背景 泰勒簡介微分中值定理主要包括羅爾定理、拉格朗日定理、柯西定理、泰勒定理,其中羅爾定理是拉格朗日定理等的預備定理,由三個已知條件推得結果,三個已知條件缺一不可,即...
定理內容 幾何意義 證明過程 簡單套用分式函式的圖象5·2 三角函式的定義2·2 複數的定義1·3
內容介紹 作品目錄微積分基本定理描述了微積分的兩個主要運算——微分和積分之間的關係。定理的第一部分,有時稱為微積分第一基本定理,表明不定積分是微分的逆運算。定理的第二部分...
定理定義 公式推導 定理推廣 發展簡史 定理意義並會用羅爾(Rolle)定理、拉格朗日(Lagrange)中值定理和泰勒(Taylor)定理,了解並會用柯西(Cauchy)中值定理.6.掌握用洛必...及定積分中值定理,掌握換元積分法與分部積分法.3.會求有理函式、三角函式...
一大綱 二大綱 三大綱