數學定義
波萊爾域
波萊爾域設 是 的子集的一個非空類,若且唯若滿足
波萊爾域
波萊爾域
波萊爾域時, 稱為域。
若且唯若滿足
波萊爾域
波萊爾域
波萊爾域時, 稱為單調類。
若且唯若滿足
波萊爾域
波萊爾域
波萊爾域時, 稱為波萊爾域。
數學性質
1 一個域為波萊爾域的充分必要條件是它也是一個單調類
波萊爾域
波萊爾域
波萊爾域
波萊爾域
波萊爾域
波萊爾域
波萊爾域
波萊爾域
波萊爾域
波萊爾域
波萊爾域
波萊爾域的所有子集的類 是一波萊爾域,稱為全波萊爾域,兩個集 的類是一波萊爾域,稱為平凡波萊爾域,設 是任一個指標集,且對每個 是一波萊爾域(或者單調類),則所有這些波萊爾域的交,即屬於所有的 的集所成的類,也是一個波萊爾域。對於任給的非空集類 ,存在一個包含它的一個最小的波萊爾域,它正好就是包含 的所有波萊爾域的交,易知,這種波萊爾域至少存在一個,即上面提到的 。這個最小的波萊爾域也稱為是由 產生的。特別是,如果 是一個域,則存在包含 的一個最小的波萊爾域。
波萊爾域
波萊爾域
波萊爾域
波萊爾域
波萊爾域
波萊爾域2 設 是一個域, 是包含 的最小單調類, 是包含 的最小波萊爾域,則 .
生成
當X是一個度量空間時,博雷爾代數可以用如下生成的方法描述。
對於X的一族子集T(即X的冪集P(X)的任何子集),令
1 T為T中元素的可數並的全體
2 T為T中元素的可數交的全體
3 T=(T).
波萊爾域現在利用超限歸納法定義如下的序列 ,其中m是一個序數:
1 對於初始的情況,定義
波萊爾域的所有開子集全體。
2 如果i不是極限序數,那么i是i-1的後繼序數。令
波萊爾域3 如果i是極限序數,令
波萊爾域
波萊爾域我們現在可以說博雷爾代數是 ,其中ω是第一不可數序數,即勢為 ℵ₁的序數集。這意味著博雷爾代數可以通過開集全體的疊代運算
波萊爾域至第一不可數序而生成。
波萊爾域
波萊爾域為了證明這一點,首先注意到度量空間中的任何開集都是一列遞增緊集的並。特別地,易知對於任何極限序數m,集合的差運算將 映射到自身;而且,當m是不可數的極限序數時, 在可數並運算下是封閉的。
注意到對於每一個博雷爾集B,存在一個可數序數α使得B可以通過α多次疊代後得到。但是隨著B取遍所有博雷爾集,α也會相應地取遍所有可數序數,故而要得到所有博雷爾集所需的最靠前的序數是ω,即第一不可數序數。
非波萊爾域
下面描述了盧津給出的一個實數集上的子集不是波萊爾域的例子。與之形成對比的是,不可測集的例子是無法給出的,不過其存在性是可以證明的。
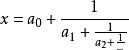
每一個無理數都有一個唯一的連分數表示
波萊爾域
波萊爾域
波萊爾域
波萊爾域
波萊爾域其中 是一個整數,其餘的 都是正整數。令A為對應序列 的無理數組成的集合,而且其中的元素滿足下列性質:存在一個無限子序列 使得序列中每一個元素都是下一個元素的因子。這個集合A不是波萊爾域。
